Share on Google+Share on FacebookShare on LinkedInShare on TwitterShare on DiggShare on Stumble Upon
Custom Search
 
  

 

Object points and their corresponding image points formed by a lens are termed conjugate focal points. The distances from the optical center of the lens to these points, when the image is in focus, are termed conjugate focal distances or conjugate foci (fig. 1-31).

Figure 1-30. Depth of field on camera focusing ring.

The terms object focal distance and image focal distance are often used for these conjugate distances. It is obvious from these two terms that the object distance is outside the camera and the image distance is inside the camera. Since the focal length denotes only the distance from its center to the image when focused at infinity, we need some way to account for the fact that when we focus on closer objects the image focal distance can be much more than the lens focal length, with a corresponding effect on image size, effective aperture, and other factors.

The various ratios between image and object focal distances may be determined by a formula that contains the focal length of the lens and the ratio (scale) between the image size and the object size.

That is:

F = the focal length of the lens

R = the ratio between the image and object size or the ratio between the conjugate foci of the image and object

When R is determined by the following formula:

Object focal distance = F + F R)

Image focal distance = F + (F x R)

For a 1: 1 reproduction using a 50mm lens, your object focal distance is as follows:

and the image focal distance is as follows:

50mm + (50mm x 1) = 100mm

When the image formed by a lens is smaller than the object, the larger conjugate is outside the camera. When the image formed is larger than the object, the larger conjugate is inside the camera.

These conjugate focal distances have some interesting relationships that may be used in several ways. The following examples illustrate the practical value of these distance relationships:

EXAMPLE 1: A4x5-inch copy negative must be made of a 16x20 print using a camera equipped with a 10-inch focal length lens.

Figure 1-31. Conjugate distances.

PROBLEM: Determine the distance that is required between the film and the lens (the image focal distance) and the necessary distance between the lens and the print (the object focal distance).

The ratio between the film size and the print size (4:16 or 5:20) may be reduced by using the following formula:

Likewise:

Substituting the figures into the formula:

Therefore, the camera lens must be 50 inches from the print and the film must be 12.5 inches from the lens to make a 4x5-inch image of a 16x20 print using a 10-inch lens.

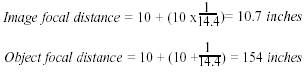
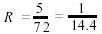
EXAMPLE 2: Make a full-length portrait of a man 6 feet (72 inches) tall using a 10-inch focal-length lens, and make the image on the film 5 inches long.

PROBLEM: How much studio space is required to make this photograph?

The ratio is 5:72, which reduces to

Substituting the formula:

14.4)= 10.7 inches

Adding 10.7 inches and 154 inches and converting to feet gives a film to subject distance of 13.7 feet. However, there must be enough space added to this distance to allow a background behind the subject and operating space behind the camera. Three or four feet at each end is about the minimum for good work Thus, if the room is not at least 20 feet long (13.7 + 6 = 19.7), a portrait this size cannot be made with a 10-inch lens.

EXAMPLE 3: A diagram 4 inches square is to be photographed so the image on the film is 8 inches square. Using a 10-inch lens, how much bellows extension, or camera length, is required? The ratio here is 8:4, or

The image focal distance equals the bellows extension or the required length of the camera.

Substituting:

If the camera does not have sufficient bellows extension to allow the film to be placed 30 inches from the lens, the required negative or image size cannot be made with this camera and lens.

It is not difficult to calculate the various distances for different jobs. The photographer also saves the time and unnecessary work usually required by the trial-and-error method.



Managed Security Service Provider
 


Privacy Statement - Copyright Information. - Contact Us

Integrated Publishing, Inc. - A (SDVOSB) Service Disabled Veteran Owned Small Business