Share on Google+Share on FacebookShare on LinkedInShare on TwitterShare on DiggShare on Stumble Upon
Custom Search
 
  

 

The size of the image formed by a lens is dependent upon the following:

The size of the subject

The lens-to-subject distance

The lens focal length

The size of the image of any object at a given distance is directly proportional to the focal length of the lens being used. That is, when a given object at a given distance appears 1 inch high on the focal plane when a 3-inch lens is used, it appears 2 inches high when a 6-inch lens is used and l/2 inch high when a 1 1/2-inch lens is used.

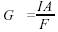
The proportion illustrated in the following figure is the basis of the equation commonly used for solving image-object and focal length distance relationship problems (fig. 1-32).

Figure 1-32. Proportional IFGA.

All image-object and focal length distance relationship problems can be computed with the following simple proportion:

The image size (I)

is to the image focal distance (F)

as the object size (G)

is to the object focal distance (A)

You should thoroughly understand this equation since you will have many uses for it in many different applications of photography.

Study the proportional IFGA figure and note the following:

I - the image size

F - the image focal distance

G - the object size

A - the distance from lens to object

The ratio of image size to image focal distance is the same as the ratio of object size to object focal distance as follows:

I:F = G:A

The mathematical equation resulting from this proportion is as follows:

The proportion may be written in fractional form as follows:

When solving for I:

When solving for A:

To clear or set apart one factor of an equation so it may be solved, divide the equation by all factors on that side of the equation except the one to be set apart.

When solving for F:

When solving for G:

These four formulas are from the same equation IA = FG.

Inches and feet are used in the equation that eliminates the computations required to reduce feet measurements to inches. However, the relation of inches to inches and feet to feet must be maintained on the respective sides of each equation Keep I and F values in inches and G and A values in feet. Then, when solving for I or F, the result will be in inches. When solving for G or A, the result will be in feet.

In the sample problems which follow, the IA = FG formula is used as though the camera were focused at infinity.

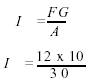
PROBLEM 1: A lens with a focal length of 12 inches is used to photograph an object 10 feet high from a distance of 30 feet. What is the size of the image? Solve for the unknown factor (image size) by substituting the known factors (focal length, object size, and distance) into the equation IA = FG. The formula and computations are as follows:

I = 4, or image size equals 4 inches

This computation can be done with lenses marked in millimeters; however, the result will also be in millimeters. At this point, you must convert millimeters to inches as follows:

= 101mm x .04 (conversion factor) = 4 inches

Where:

I = the image size

F = the focal length

G = the object size

A = the distance from the lens to the object

PROBLEM 2: A 24-inch focal-length lens is used to photograph an object 10 feet high from a distance of 30 feet. What is the length of the image? The formula and computations are as follows:

I = 8 inches

or, solving to prove the unit of measure of the result.

I = 8 inches or image size

I = 8 inches

As an example of a typical situation whereby you can make use of the IA = FG formula, suppose you are requested to make a 9-inch photograph of a board 12 feet long. This board is mounted on a wall and the maximum distance from that wall to the opposite side of the room is 20 feet. Is it possible to make this photograph using an 8x10 camera equipped with a 12-inch focal-length lens?

The known values are object size (12-foot board), requested image size (9 inches), and the focal length (12 inches). The unknown factor is the necessary lens-to-subject distance required to make the photograph using this camera. The formula and computations are as follows:

IA = FG

A= 16 feet

The required lens-to-subject distance equals 16 feet. The answer to this problem then would be yes, since the required lens-to-subject distance is only 16 feet. This allows the photographer 4 feet (20 - 16 = 4) in which to set up and operate the camera.

PROBLEM 3: An image 4 inches long of an object 8 feet high at a distance of 20 feet is focused on the film plane. What is the lens focal length?

IA = FG

IA F =G

4 x 20F =8

F = 10, or focal length equals 10 inches

Another problem to illustrate the application of the proportion I:F=G:A follows: When using an 8x10 camera equipped with a 12-inch focal-length lens to obtain a 9-inch image from a distance of 16 feet, you can photograph an object of what maximum length? To solve this problem, you should have the formula and computation as follows:

G= 12 feet

The maximum length of an object that can be photographed with this 12-inch lens, using an image size of 9 inches from a distance of 16 feet, is 12 feet.

Using Various Lenses

It is possible for you to take all your pictures with only one lens. But before long, you will want to expand your range of lenses to become a more versatile photographer.

Within our Navy, 35mm single-lens reflex (SLR) cameras are coming into ever-increasing use. Every Navy photo unit should have several SLR cameras, and

l-30 by and large, they are the cameras most used. For these reasons we shall limit our discussion of using different lenses to 35mm SLR cameras. Keep in mind, however, that the concepts discussed apply equally well to all cameras and lenses no matter what their size of focal length may be.

Lens interchangeability is one of the great features of SLR cameras. SLR cameras have focal-plane shutters directly in front of the film so the lens can be removed and replaced at any time without fogging the film. Most makes of lenses and cameras are designed with their own exclusive method of lens attachment. Some use screw-in lenses; others use bayonet mounts. And each lens is either incompatible with or requires special adapters to fit other brands.

Lenses for 35mm cameras are generally divided into two groups. The first group is a basic set of three. These are moderately wide angle, normal, and moderately long focal length. The second group is a variety of special lenses. This group of special lenses includes ultra-wide angle, extreme telephoto, shift lenses, variable focal length (ZOOM), and macro lenses.

Most experienced Navy photographers who use a 35mm camera agree that a basic set of lenses is well worth having. Their choice of actual focal-length lenses is a far more personal decision. One may prefer a 35mm wide angle and a 200mm long focal length. Another photographer may prefer a 28mm wide angle and a 135mm long-focal-length lens.

There are two occasions for changing lenses. The first is when your viewpoint or camera position cannot be changed. Imagine that you are aboard a ship and taking pictures of the coastline. To get a broader view of the coastline, you cannot move your camera position because the ship is on course. The solution is to change to a wide-angle lens. To get a closeup shot of an important section of the coastline, you obviously cannot move closer to the shore. You must change to a long-focal-length lens to bring the important section of coastline closer to you. The second time you would change lenses is when a different focal-length lens enhances your subject (remember the cow having lunch). This depends on your ability to change camera viewpoint, forward and backward, so you can fill the picture area with the subject. Using a long-focal-length lens reduces depth of field, makes the apparent effect of linear perspective less dramatic, and decreases the apparent distance between different subject planes.

The use of a wide-angle lens has the opposite effect. It increases depth of field, exaggerates apparent linear

Figure 1-33. Comparison of angle of view on camera lenses.

perspective, increases the apparent distance between subject planes, and may introduce image distortion.

As the focal length increases, the image gets bigger and the angle of view becomes smaller. You cannot change the picture area produced on film by a 35mm SLR camera. The picture area is always 24mm by 36mm. Lenses for 35mm SLRs (except some ultra-wide lenses) all produce an image that completely fills the picture area. Along lens magnifies the subject image and not as much of it fits into the film frame area (fig. 1-33). Thus long-focal-length lenses cut down the area you see around the subject, and they, therefore, have a small angle of view.

Short-focal-length lenses produce much smaller images from the same camera position than long lenses. The small image of a subject looks farther away and much more area surrounding it can be included in the picture area. A short-focal-length lens gives a wide-angle view. This is why short-focal-length lenses are called wide-angle lenses.

Figure 1-34. Angle of view.

In figure 1-34, the diagram shows the different angles of view you can expect from several common focal-length lenses used with 35mm SLR cameras.

Table 1-4 can be used in selecting lenses for one film format that provides the same angle of view produced by another film format and the lens focal-length combinations.

To use this table, select the lens for one film format that provides the same angle of view produced by another film format and focal-length combination.

Example: The angle of view of a 360mm lens on a 4x5 camera is 19 degrees. To match the angle of view approximately with a 35mm camera, a 105mm lens is needed. The normal focal-length lens (50mm) for a 35mm camera provides an angle of view of 40 degrees (width). You can see from the table that the normal focal-length lens for a medium format camera (2 1/4 x 2 1/4 ) is an 80mm lens because it provides approximately the same angle of view (38 degrees).



Managed Security Service Provider
 


Privacy Statement - Copyright Information. - Contact Us

Integrated Publishing, Inc. - A (SDVOSB) Service Disabled Veteran Owned Small Business