Share on Google+Share on FacebookShare on LinkedInShare on TwitterShare on DiggShare on Stumble Upon
Custom Search
 
  

 

The hyperfocal distance of a lens is the distance from the optical center of the lens to the nearest point in acceptably sharp focus when the lens, at a given f/stop, is focused at infinity. In other words, when a lens is focused at infinity, the distance from the lens beyond which all objects are rendered in acceptably sharp focus is the hyperfocal distance. For example, when a 155mm lens is set at f/2.8 and focused at infinity, objects from 572 feet to infinity are in acceptably sharp focus. The hyperfocal distance therefore is 572 feet.

The following equation is used to find hyperfocal distance:

Where:

H = hyperfocal distance

F = focal length of lens

f = f/stop setting

C = diameter of circle of confusion

F and C must be in the same units, inches, millimeters, and so forth.

NOTE: 1 inch is equal to 25.4mm.

Where:

F = 155mm (6.1 inches)

f = 2.8

C = 0.05 (0.002 inches)

Then:

Thus the hyperfocal distance for this lens set at f/2.8 is 554 feet.

Hyperfocal distance depends on the focal length of the lens, the f/stop being used, and the permissible circle of confusion. Hyperfocal distance is needed to use the maximum depth of field of a lens. To find the depth of field, you must first determine the hyperfocal distance. By focusing a lens at its hyperfocal distance, you cause the depth of field to be about one half of the hyperfocal distance to infinity.

DEPTH OF FIELD. Depth of field is the distance from the nearest point of acceptably sharp focus to the farthest point of acceptably sharp focus of a scene being photographed Because most subjects exist in more than one plane and have depth, it is important in photography to have an area in which more than just a narrow, vertical plane appears sharp. Depth of field depends on the focal length of a lens, the lens f/top, the distance at which the lens is focused, and the size of the circle of confusion.

Depth of field is greater with a short-focal-length lens than with a long-focal-length lens. It increases as the lens opening or aperture is decreased. When a lens is focused on a short distance, the depth of field is also short. When the distance is increased, the depth of field increases. For this reason, it is important to focus more accurately for pictures of nearby objects than for distance objects. Accurate focus is also essential when using a large lens opening. When enlargements are made from a negative, focusing must be extremely accurate because any unsharpness in the negative is greatly magnified.

When a lens is focused at infinity, the hyperfocal distance of that lens is defined as the near limit of the depth of field, while infinity is the far distance. When the lens is focused on the hyperfocal distance, the depth of field is from about one half of that distance to infinity.

Many photographers actually waste depth of field without even realizing it. When you want MAXIMUM depth of field in your pictures, focus your lens on the hyperfocal distance for the f/stop being used, NOT on your subject which of course would be farther away than the hyperfocal distance. When this is done, depth of field runs from about one half of the hyperfocal distance to infinity.

There are many times when you want to know how much depth of field can be obtained with a given f/stop. The image in the camera viewing system may be too dim to see when the lens is stopped down. Under these conditions, some method other than sight must be used to determine depth of field. Depth of field can be worked out mathematically.

The distance, as measured from the lens, to the nearest point that is acceptably sharp (the near distance) is as follows:

The distance, as measured from the lens, to the farthest point that is acceptably sharp (the far distance) is as follows:

ND = near distance

H= hyperfocal distance

D= distance focused upon

FD= far distance

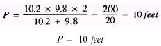
EXAMPLE: What is the depth of field of a 155mm (6.1 inch) lens that is focused on an object 10 feet from the camera lens using f/2.8? (Note: In a previous example the hyperfocal distance for the lens was found to be 554 feet.) By the formula, the nearest sharp point is determined as follows:

Thus the nearest point in sharp focus is 9.8 feet from the lens that is focused on an object at 10 feet, using f/2.8.

Also by the formula, the farthest point in sharp focus can be determined as follows:

Therefore, the far point in sharp focus is 10.2 feet when focused on an object at 10 feet, using f/2.8. Consequently, the depth of field in this problem equals the near distance subtracted from the far distance (10.2 - 9.8 = 0.4-foot depth of field). Thus all objects between 9.8 and 10.2 feet are in acceptably sharp focus. When this depth of field is not great enough to cover the subject, select a smaller f/stop, find the new hyperfocal distance, and apply the formula again.

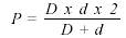
When the only way you have to focus is by measurement, the problem then becomes one of what focus distance to set the lens at so depth of field is placed most effectively. There is a formula to use to solve this problem.

Where:

D = distance to farthest point desired in sharp focus

d = distance to nearest point desired in sharp focus

p= distance to point at which the lens should be focused Substituting the figures from the previous examples,

D= 10.2 feet d = 9.8 feet P= lens focus distance

Then:

To obtain the desired depth of field at f/2.8, we set the lens focus distance at 10 feet.

If the preceding explanations and formulas have confused you, here is some good news! Most cameras and lenses have depth of field indicators that show the approximate depth of field at various distances and lens apertures. Figure 1-30 shows that with the lens set at f/8 and focused at about 12 feet, subjects from about 9 feet to about 20 feet are in acceptably sharp focus. By bringing the distance focused upon to a position opposite the index mark, you can read the depth of field for various lens openings.

Keep in mind that a depth of field scale, either on the camera or on the lens, is for a given lens or lens focal length only. There is no universal depth-of-field scale that works for all lenses.

In conclusion, the two formulas used to compute depth of field serve for all distances less than infinity. When the lens is focused on infinity, the hyperfocal distance is the nearest point in sharp focus, and there is no limit for the far point.



Managed Security Service Provider
 


Privacy Statement - Copyright Information. - Contact Us

Integrated Publishing, Inc. - A (SDVOSB) Service Disabled Veteran Owned Small Business