Share on Google+Share on FacebookShare on LinkedInShare on TwitterShare on DiggShare on Stumble Upon
Custom Search
 
  

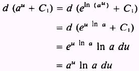
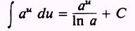
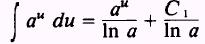
PROOF:

so that

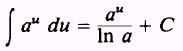
But In a is a constant, so

Then, by dividing both sides by In a:

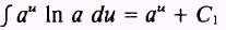
or

where

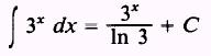
EXAMPLE: Evaluate

SOLUTION: Let

so that

Therefore, by knowing that

and using substitution, we find that

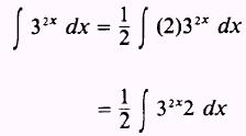
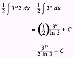
EXAMPLE: Evaluate

SOLUTION. Let

so that

The integral should contain a factor of 2. Thus we insert a factor of 2 in the integral and compensate by multiplying the integral by 1/2.

Then,

Therefore,

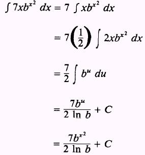
EXAMPLE: Evaluate

SOLUTION: Let

so that

We find we need 2x dx; therefore, we remove the 7 and insert a 2 by writing

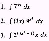
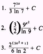
PRACTICE PROBLEMS: Evaluate the following integrals:

ANSWERS:



Managed Security Service Provider


Privacy Statement - Copyright Information. - Contact Us

Integrated Publishing, Inc. - A (SDVOSB) Service Disabled Veteran Owned Small Business