|
TRIGONOMETRIC FUNCTIONS
Trigonometric functions, which comprise one group of
transcendental functions, may be differentiated and integrated in the same
fashion as the other functions. We will limit our proofs to the sine, cosine,
and secant functions but will list several others.
Formula.
PROOF:
and
Therefore,
Formula.
PROOF:
Therefore,
Formula.
PROOF:
and by the quotient rule
Therefore,
To this point we have considered integrals of
trigonometric functions that result in functions of the sine, cosine, and
tangent. Those integrals that result in functions of the cotangent, secant, and
cosecant are included in the following list of elementary integrals:
EXAMPLE: Evaluate
SOLUTION: We need the integral in the form
of
We let
so that
but we do not have 3 dx. Therefore,
we multiply the integral by 3/3 and rearrange as follows:
EXAMPLE: Evaluate
SOLUTION: Let
so that
Therefore,
EXAMPLE: Evaluate
SOLUTION: We use the rule for sums and write
Then, in the integral
let
so that
but we have
3 dx
Hence, proper compensation has to be made as follows:
The second integral
with
and
is evaluated as follows:
Then, by combining the two solutions, we have
where
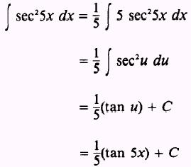
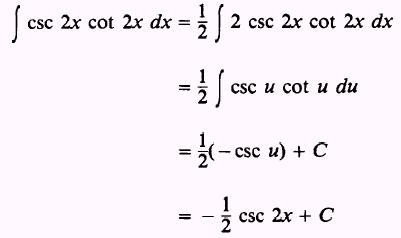
EXAMPLE: Evaluate
SOL UTION: Let
so that
We need 5 dx so we write
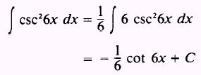
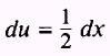
EXAMPLE: Evaluate
SOL UTION: Let
so that
We require du equal to 2 dx, so we
write
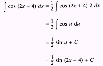
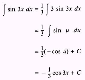
EXAMPLE: Evaluate
SOL UTION: Let
u=6x
so that
then,
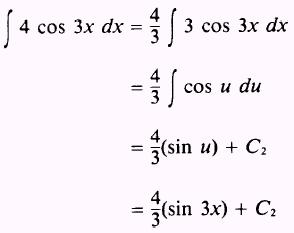
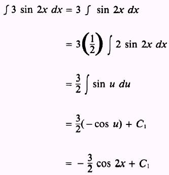
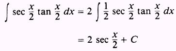
EXAMPLE: Evaluate
SOL UTION: Let
so that
then,
|

|