Share on Google+Share on FacebookShare on LinkedInShare on TwitterShare on DiggShare on Stumble Upon
Custom Search
 
  

CONSTANT TO A VARIABLE POWER

In this section a discussion of two forms of a constant to a variable power is presented. The two forms are , where u is a variable, a is any constant, and e is a defined constant.

Formula.

PROOF:

Therefore,

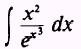
EXAMPLE: Evaluate

SOL UTION: Let

so that

The integral is in the correct form to use

therefore, using substitution, we find

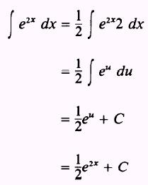
EXAMPLE: Evaluate

SOL UTION: Let

so that

We need a factor of 2 in the integral so that

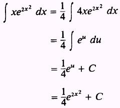
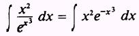
EXAMPLE: Evaluate

SOL UTION: Let

so that

Here a factor of 4 is needed in the integral; therefore,

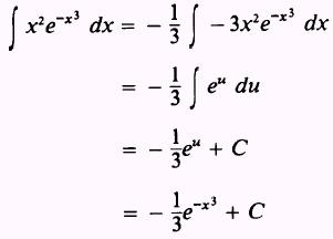
EXAMPLE: Evaluate

SOLUTION:

Let

so that

Therefore,

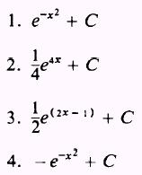
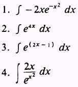
PRACTICE PROBLEMS: Evaluate the following integrals: 1. J - 2xe x2 dx

ANSWERS:

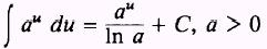
We will now discuss the second form of the integral of a constant to a variable power.

Formula.



Managed Security Service Provider


Privacy Statement - Copyright Information. - Contact Us

Integrated Publishing, Inc. - A (SDVOSB) Service Disabled Veteran Owned Small Business