Share on Google+Share on FacebookShare on LinkedInShare on TwitterShare on DiggShare on Stumble Upon
Custom Search
 
  

CHAPTER 7 INTEGRATION FORMULAS

LEARNING OBJECTIVES

Upon completion of this chapter, you should be able to do the following:

1. Integrate a variable to a power, a constant, a function raised to a power, and a constant to a variable power.

2. Integrate the sum of differentiable functions, quotients, and trigonometric functions.

INTRODUCTION

In this chapter several of the integration formulas and proofs are discussed and examples are given. Some of the formulas from the previous chapter are repeated because they are considered essential for the understanding of integration. The formulas in this chapter are basic and should not be considered a complete collection of integration formulas. Integration is so complex that tables of integrals have been published as reference sources.

In the following formulas and proofs, u, v, and w are considered functions of a single variable.

POWER OF A VARIABLE

The integral of a variable to a power is the variable to a power increased by one and divided by the new power.

Formula.

PROOF.

Therefore,

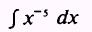
EXAMPLE. Evaluate

SOLUTION.*

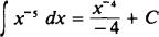
EXAMPLE. Evaluate

SOLUTION.,

CONSTANTS

A constant may be written either before or after the integral sign.

Formula.

PROOF:

Therefore,

EXAMPLE. Evaluate

SOLUTION:

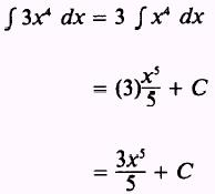
EXAMPLE: Evaluate

SOLUTION:



Managed Security Service Provider


Privacy Statement - Copyright Information. - Contact Us

Integrated Publishing, Inc. - A (SDVOSB) Service Disabled Veteran Owned Small Business