Share on Google+Share on FacebookShare on LinkedInShare on TwitterShare on DiggShare on Stumble Upon
Custom Search
 
  

PRACTICE PROBLEMS:

1. Find, by integration, the area under the curve

y=x+4

bounded by the X axis and the lines

x=2

and

x=7

verify this by a geometric process.

2. Find the area under the curve

bounded by the X axis and the lines

x = 0

and

x = 2

3. Find the area between the curve

and the X axis, from

x = -1

to

x = 3

ANSWERS:

SUMMARY

The following are the major topics covered in this chapter:

1. Definition of integration: Integration is defined as the inverse of differentiation.

where F(x) is the function whose derivative is the function f(x); is the integral sign; f(x) is the integrand; and dx is the differential.

2. Area under a curve:

where (sigma) is the symbol for sum, n is the number of rectangles, is the area of each rectangle, and k is the designation number of each rectangle.

Intermediate Value Theorem:

where f(c) is the function at an intermediate point between a and b.

where F(b) - F(a) are the integrals of the function of the curve at the values b and a.

3. Indefinite integrals:

where C is called a constant of integration, a number which is independent of the variable of integration.

Theorem 1. If two functions differ by a constant, they have the same derivative.

Theorem 2. If two functions have the same derivative, their difference is a constant.

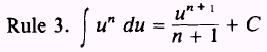
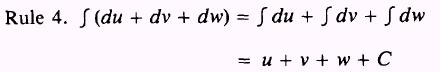
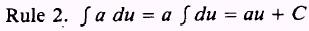
4. Rules for integration:

The integral of a differential of a function is the function plus a constant.

A constant may be moved across the integral sign. NOTE: A variable may NOT be moved across the integral sign.

The integral of du may be obtained by adding 1 to the exponent and then dividing by this new exponent. NOTE: If n is minus 1, this rule is not valid.

The integral of a sum is equal to the sum of the integrals.

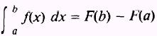
5. Definite integrals:

where b, the upper limit, and a, the lower limit, are given values.

6. Areas above and below a curve:

If the graph of y = f(x), between x = a and x = b, has portions above and portions below the X axis, then

is the sum of the absolute values of the positive areas above the X axis and the negative areas below the X axis.

ADDITIONAL PRACTICE PROBLEMS Evaluate the following integrals:

ANSWERS TO ADDITIONAL PRACTICE PROBLEMS



Managed Security Service Provider


Privacy Statement - Copyright Information. - Contact Us

Integrated Publishing, Inc. - A (SDVOSB) Service Disabled Veteran Owned Small Business