|
SUMS
The integral of an algebraic sum of differentiable
functions is the same as the algebraic sum of the integrals of these functions
taken separately; that is, the integral of a sum is the sum of the integrals.
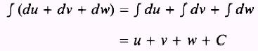
Formula.
PROOF:
Therefore,
where
Then
and
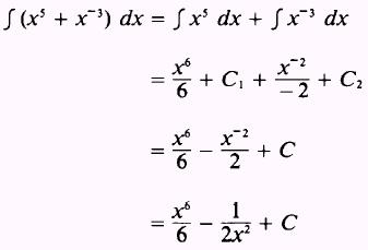
EXAMPLE: Evaluate
SOLUTION:
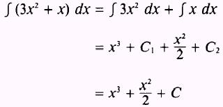
EXAMPLE: Evaluate
SOLUTION:
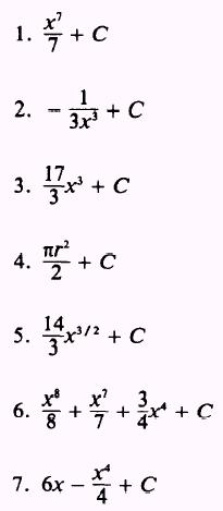
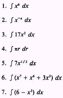
PRACTICE PROBLEMS:
Evaluate the following integrals:
ANSWERS:
|

|