Share on Google+Share on FacebookShare on LinkedInShare on TwitterShare on DiggShare on Stumble Upon
Custom Search
 
  

INVERSE FUNCTIONS

Theorem 7. The derivative of an inverse function is equal to the reciprocal of the derivative of the direct function.

In the equations to this point, x has been the independent variable and y has been the dependent variable. The equations have been in a form such as

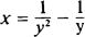
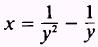
Suppose that we have a function like

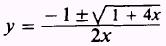
and we wish to find the derivative . Notice that if we solve for y in terms of x, using the quadratic formula, we get the more complicated function:

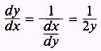
if we call this function the direct function, then

is the inverse function. To determine from the inverse

function is easy.

EXAMPLE: Find the derivative of the function

SOLUTION.The derivative is

The reciprocal of is the derivative of the direct function, and we find

EXAMPLE: Find the derivative of the function

SOL UTION.- Find to be

Then

PRACTICE PROBLEMS:

Find the derivative of the following functions:

ANSWERS:



Managed Security Service Provider


Privacy Statement - Copyright Information. - Contact Us

Integrated Publishing, Inc. - A (SDVOSB) Service Disabled Veteran Owned Small Business