calculus is the chain rule. This rule links together derivatives that have related variables. The chain rule is where the variable y = f(u) is a differentiable function of u and u = g(x) is a differentiable function of x. EXAMPLE: Find the derivative of"> Chain Rule

Share on Google+Share on FacebookShare on LinkedInShare on TwitterShare on DiggShare on Stumble Upon
Custom Search
 
  

CHAIN RULE

A frequently used rule in differential calculus is the chain rule. This rule links together derivatives that have related variables. The chain rule is

where the variable y = f(u) is a differentiable function of u and

u = g(x) is a differentiable function of x.

EXAMPLE: Find the derivative of

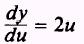
SOLUTION.- Let

and

Then,

and

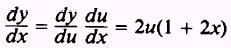
Now,

and substituting into equation (1) gives

but,

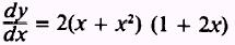
Therefore,

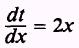
EXAMPLE: Find where

and

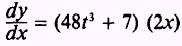
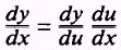
SOLUTION.- By the chain rule

and

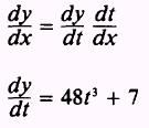
Then,

and by substitution

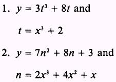
PRACTICE PROBLEMS:

Find in the following:

ANSWERS:



Managed Security Service Provider


Privacy Statement - Copyright Information. - Contact Us

Integrated Publishing, Inc. - A (SDVOSB) Service Disabled Veteran Owned Small Business