Share on Google+Share on FacebookShare on LinkedInShare on TwitterShare on DiggShare on Stumble Upon
Custom Search
 
  

POWERS OF FUNCTIONS

Theorem 6. The derivative of any differentiable function of x raised to the power n, where n is any real number, is equal to n times the polynomial function of x to the (n - 1) power times the derivative of the polynomial itself.

If

where u is any differentiable function of x, then

EXAMPLE. Find the derivative of the function

SOLUTION.- Apply Theorem 6 and find

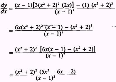
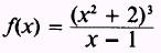
EXAMPLE. Find the derivative of the function

SOL UTION.- This problem involves Theorem 5 and Theorem 6. Theorem 6 is used to find the derivative of the numerator; then Theorem 5 is used to find the derivative of the resulting quotient.

The derivative of the numerator is

and the derivative of the denominator is 1. Then, by Theorem 5

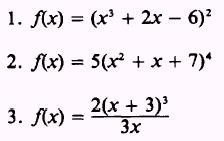
PRACTICE PROBLEMS:

Find the derivatives of the following:

ANSWERS:



Managed Security Service Provider


Privacy Statement - Copyright Information. - Contact Us

Integrated Publishing, Inc. - A (SDVOSB) Service Disabled Veteran Owned Small Business