Share on Google+Share on FacebookShare on LinkedInShare on TwitterShare on DiggShare on Stumble Upon
Custom Search
 
  

QUOTIENTS

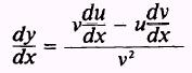
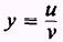
Theorem 5. At a point where the denominator is not equal to zero, the derivative of the quotient of two differentiable functions of x is equal to the denominator times the derivative of the numerator minus the numerator times the derivative of the denominator, all divided by the square of the denominator.

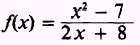
If

then

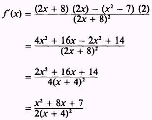
EXAMPLE. Find the derivative of the function

SOLUTION.- The derivative of the numerator is 2x, and the derivative of the denominator is 2. Therefore,

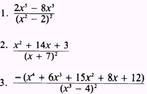
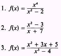
PRACTICE PROBLEMS:

Find the derivatives of the following:

ANSWERS:



Managed Security Service Provider


Privacy Statement - Copyright Information. - Contact Us

Integrated Publishing, Inc. - A (SDVOSB) Service Disabled Veteran Owned Small Business