Share on Google+Share on FacebookShare on LinkedInShare on TwitterShare on DiggShare on Stumble Upon
Custom Search
 
  

PRODUCTS

Theorem 4. The derivative of the product of two differentiable functions of x is equal to the first function multiplied by the derivative of the second function, plus the second function multiplied by the derivative of the first function.

If

then

This theorem may be extended to include the product of three differentiable functions or more. The result for three functions would be as follows:

if

then

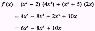
EXAMPLE. Find the derivative of

SOLUTION. The derivative of the first factor is 2x, and the derivative of the second factor is 4x3. Therefore,

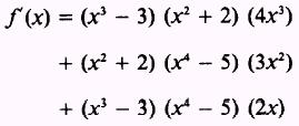
EXAMPLE. Find the derivative of

SOLUTION. The derivatives of the three factors, in the order given, are 3x2, 2x, and 4x3.

Therefore,

Expanding, we get

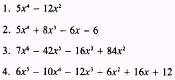
PRACTICE PROBLEMS:

Find the derivatives of the following:

ANSWERS:



Managed Security Service Provider


Privacy Statement - Copyright Information. - Contact Us

Integrated Publishing, Inc. - A (SDVOSB) Service Disabled Veteran Owned Small Business