Share on Google+Share on FacebookShare on LinkedInShare on TwitterShare on DiggShare on Stumble Upon
Custom Search
 
  

SUMS

Theorem 3. The derivative of the sum of two or more differentiable functions of x is equal to the sum of their derivatives. If two functions of x are given, such that

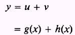
u = g(x)

and

v = h(x)

and also

then

PROOF. -

and

Subtract equation (5.1) from equation (5.2):

Rearrange this equation such that

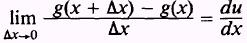
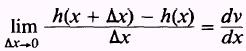
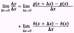
Divide both sides of the equation by Ax and then take the limit as :

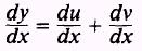
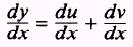
But, by definition

and

Then by substitution,

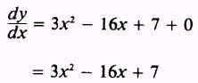
EXAMPLE. Find the derivative of the function

SOLUTION: Theorem 3 indicates that we should find the derivative of each term and then show them as a sum; that is, if

and

then

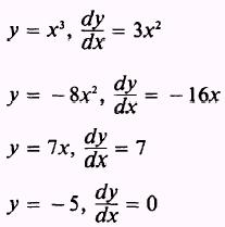
PRACTICE PROBLEMS:

Find the derivative of the following:

ANSWERS:



Managed Security Service Provider


Privacy Statement - Copyright Information. - Contact Us

Integrated Publishing, Inc. - A (SDVOSB) Service Disabled Veteran Owned Small Business