Share on Google+Share on FacebookShare on LinkedInShare on TwitterShare on DiggShare on Stumble Upon
Custom Search
 
  

DERIVATIVES OF VARIABLES

In this section of variables, we will extend the theorems of limits covered previously. Recall that a derivative is actually a limit. The proof of the theorems presented here involve the delta process.

POWER FORM

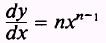
Theorem 2. The derivative of the function

is given by

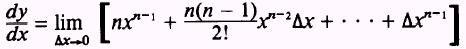
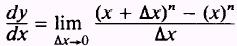
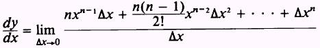
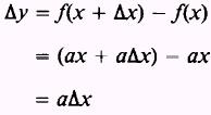
if n is any real number. PROOF: By definition

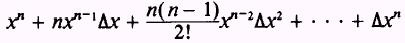
The expression may be expanded by the binomial theorem into

Substituting in the expression for the derivative, we have

Simplifying, this becomes

Letting x approach zero, we have

Thus, the proof is complete.

EXAMPLE: Find the derivative of

SOLUTION: Apply Theorem 2, such that,

Therefore,

n=5

and

n-1=4

so that given

and substituting values for n, find that

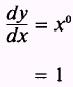
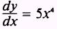
EXAMPLE: Find the derivative of

SOLUTION Apply Theorem 2, such that,

Therefore,

and

n-1=0

so that

The previous example is a special case of the power form and indicates that the derivative of a function with respect to itself is 1.

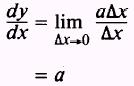
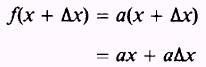
EXAMPLE: Find the derivative of

where a is a constant. SOLUTION

and

so that

Therefore,

Table 5-1.-Derivatives of Functions

The previous example is a continuation of the derivative of a function with respect to itself and indicates that the derivative of a function with respect to itself, times a constant, is that constant.

EXAMPLE. Find the derivative of

SOLUTION:

A study of the functions and their derivatives in table 5-1 should further the understanding of this section.

PRACTICE PROBLEMS:

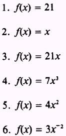
Find the derivatives of the following:

ANSWERS:

 



Managed Security Service Provider


Privacy Statement - Copyright Information. - Contact Us

Integrated Publishing, Inc. - A (SDVOSB) Service Disabled Veteran Owned Small Business