Share on Google+Share on FacebookShare on LinkedInShare on TwitterShare on DiggShare on Stumble Upon
Custom Search
 
  

PRACTICE PROBLEMS:

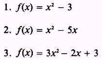
Differentiate the functions in problems 1 through 3.

4. Find the slope of the tangent line to the curve

at the points

x = - 2, 0, and 3

5. Find the values of x where the function

has a maximum or a minimum.

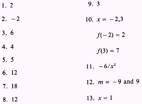
ANSWERS:

SUMMARY

The following are the major topics covered in this chapter:

2. Indeterminate forms:

Two methods of evaluating indeterminate forms are (1) factoring and (2) division of the numerator and denominator by powers of the variable.

3. Limit theorems:

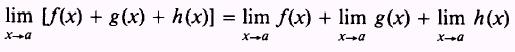
Theorem 1. The limit of the sum of two functions is equal to the sum of the limits:

This theorem can be extended to include any number of functions, such as

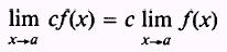
Theorem 2. The limit of a constant, c, times a function, fx), is equal to the constant, c, times the limit of the function:

Theorem 3. The limit of the product of two functions is equal to the product of their limits:

Theorem 4. The limit of the quotient of two functions is equal to the quotient of their limits, provided the limit of the divisor is not equal to zero:

4. Infinitesimals: A variable that approaches 0 as a limit is called an infinitesimal:

The difference between a variable and its limit is an infinitesimal:

If lim V = L, then lim V - L = 0

5. Sum and product of infinitesimals:

Theorem 1. The algebraic sum of any number of infinitesimals is an infinitesimal.

Theorem 2. The product of any number of infinitesimals is an infinitesimal.

Theorem 3. The product of a constant and an infinitesimal is an infinitesimal.

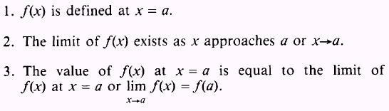
6. Continuity: A function, f(x), is continuous at x = a if the following three conditions are met:

7. Discontinuity: If a function is not continuous at x = a, then it is said to be discontinuous at x = a.

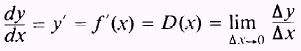
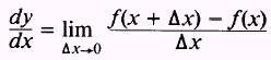
8. Ways of expressing the derivative of y with respect to x:

9. Increment method for obtaining the derivative of y with respect to x:

1. Set up the function of x as a function of (x + x) and expand this function.

2. Subtract the original function of x from the new function of (x + x).

3. Divide both sides of the equation by x.

4. Take the limit of all the terms in the equation as x approaches zero. The resulting equation is the derivative of f(x) with respect to x.

General formula for the derivative of any expression in x:

11. Maximum or minimum points on a curve: Set the derivative of the function, f(x), equal to zero and determine the values of the independent variable that will make the derivative equal to zero. (Note: When the derivative of a function is set equal to zero, that does not mean in all cases the curve will have a maximum or minimum point.)

ADDITIONAL PRACTICE PROBLEMS

Find the limit of each of the following:

ANSWERS TO ADDITIONAL PRACTICE PROBLEMS



Managed Security Service Provider


Privacy Statement - Copyright Information. - Contact Us

Integrated Publishing, Inc. - A (SDVOSB) Service Disabled Veteran Owned Small Business