expression in x, assume the function so that Subtracting equation (4.2) from equation (4.3) gives and dividing both sides of the equation by x, we have The desired formula is obtained by taking the limit of both sides as x approaches zero so that"> General Formula

Share on Google+Share on FacebookShare on LinkedInShare on TwitterShare on DiggShare on Stumble Upon
Custom Search
 
  

GENERAL FORMULA

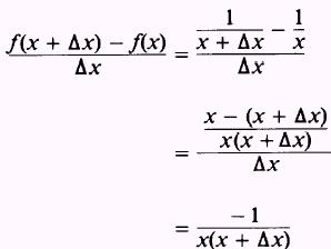
To obtain a formula for the derivative of any expression in x, assume the function

so that

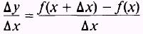
Subtracting equation (4.2) from equation (4.3) gives

and dividing both sides of the equation by x, we have

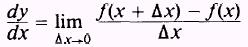
The desired formula is obtained by taking the limit of both sides as x approaches zero so that

or

NOTE: The notation is not to be considered as a fraction in which dy is the numerator and dx is the denominator. The expression is a fraction with y as its numerator and x as its denominator. Whereas, is a symbol representing the limit approached by as x approaches zero.

EXAMPLES OF DIFFERENTIATION

In this last section of the chapter, we will use several examples of differentiation to obtain a firm understanding of the general formula.

EXAMPLE: Find the derivative, -, for the function

determine the slopes of the tangent lines to the curve at

and draw the graph of the function.

SOLUTION: Finding the derivative by formula, we have

and

Expand equation (1), then subtract equation (2) from equation (1) , and simplify to obtain

Dividing both sides by Ax, we have

Take the limit of both sides as

Then

The slopes of the tangent lines to the curve at the points given, using this derivative, are shown in figure 4-7, view B.

Thus we have a new method of graphing an equation. By substituting different values of x in equation (3), we can find the slope of the tangent line to the curve at the point corresponding to the value of x. The graph of the curve is shown in figure 4-7, view A.

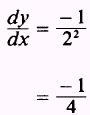
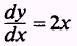
EXAMPLE: Differentiate the function; that is, find of

and then find the slope of the tangent line to the curve at

SOLUTION: Apply the formula for the derivative, and simplify as follows:

Now take the limit of both sides as so that

To find the slope of the tangent line to the curve at the point

where x has the value 2, substitute 2 for x in the expression for .

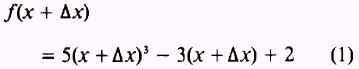
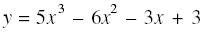
EXAMPLE: Find the slope of the tangent line to the curve

At

x=3

SOLUTION: We need to find , which is the slope of the tangent line at a given point. Apply the formula for the derivative as follows:

and

Expand equation (1) so that

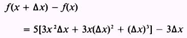
Then subtract equation (2) from equation (1):

Now, divide both sides by

Then take the limit of both sides as

Substitute 3 for x in the expression for the derivative to find the slope of the tangent line at

x=3

so that

slope = 6

In this last example we will set the derivative of the function, f (x), equal to zero and determine the values of the independent variable that will make the derivative equal to zero to find a maximum or minimum point on the curve. By maximum or minimum of a curve, we mean the point or points through which the slope of the tangent line to the curve changes from positive to negative or from negative to positive.

NOTE: When the derivative of a function is set equal to zero, that does not mean in all cases we will have found a maximum or minimum point on the curve. A complete discussion of maxima or minima may be found in most calculus texts.

To set the derivative equal to zero, we will require that the following conditions be met:

1. We have a maximum or minimum point.

2. The derivative exists.

3. We are dealing with an interior point on the curve.

When these conditions are met, the derivative of the function will be equal to zero.

EXAMPLE: Find the derivative of the function

set the derivative equal to zero, and find the points of maximum and minimum on the curve. Then verify this by drawing the graph of the curve.

SOLUTION: Apply the formula for as follows:

and

Expand equation (1) and subtract equation (2), obtaining

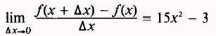
Now, divide both sides by , and take the limit as so that

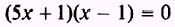
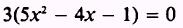
Set equal to zero; thus

Then

and

Set each factor equal to zero and find the points of maximum or minimum; that is,

and

x=1

The graph of the function is shown in figure 4-8.



Managed Security Service Provider


Privacy Statement - Copyright Information. - Contact Us

Integrated Publishing, Inc. - A (SDVOSB) Service Disabled Veteran Owned Small Business