Share on Google+Share on FacebookShare on LinkedInShare on TwitterShare on DiggShare on Stumble Upon
Custom Search
 
  

TANGENT AT A GIVEN POINT ON OTHER CURVES

The technique used to find the slope and equation of the tangent line for a standard parabola can be used to find the slope and equation of the tangent line to a curve at any point regardless of the type of curve. The method can be used to find these relationships for circles, hyperbolas, ellipses, and general algebraic curves.

This general method is outlined as follows: To find the slope, m, of a given curve at the point , choose a second point, P', on the curve so that it has coordinates ; then substitute each of the coordinates of P' and P1 in the equation of the curve and simplify. Divide both sides by x and eliminate terms that contain powers of y higher than the first power, as

previously discussed. Solve for . Let x approach zero and will approach the slope of the tangent line, m, at point P1.

When the slope and coordinates of a point on the curve are known, you can find the equation of the tangent line by using the point-slope method.

EXAMPLE: Using the method outlined, find the slope and equation of the tangent line to the curve

SOLUTION: Choose a second point such that it has coordinates

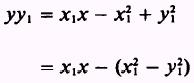
Substitute into equation (1)

Thus

Then

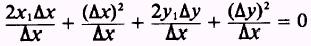
Divide both sides by x

and eliminating ( y)2 results in

Solve for

Let x approach zero, so that

Now using the point-slope form of a straight line, substitute for m:

Multiply both sides by y1

Rearrange:

but

Then, by substitution

and

which is the general equation of the tangent line to the curve

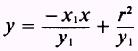
EXAMPLE: Using the given method, with minor changes, find the slope and equation of the tangent line to the curve

SOLUTION: Choose a second point such that it has coordinates

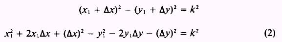
Substitute into equation (1):

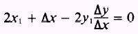
Since , then

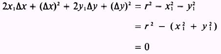
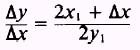
Then divide by x and eliminate ( y)2

Solve for

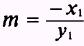
Let Ax approach zero, so that

which is the slope desired.

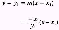
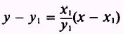
Use the point-slope form of a straight line to find the equation of the tangent line to the curve at point (x1,y1) as shown in the following:

Substitute for m:

Multiply both sides by y1:

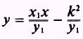
Rearrange to obtain

Substitute ;

Divide both sides by y1 to obtain

which is the equation desired.

PRACTICE PROBLEMS:

Find the slope and equation of the tangent line to the curve, in problems 1 through 6, at the given points.

ANSWERS:



Managed Security Service Provider


Privacy Statement - Copyright Information. - Contact Us

Integrated Publishing, Inc. - A (SDVOSB) Service Disabled Veteran Owned Small Business