Share on Google+Share on FacebookShare on LinkedInShare on TwitterShare on DiggShare on Stumble Upon
Custom Search
 
  

EQUATIONS AND LENGTHS OF TANGENTS AND NORMALS

In figure 3-5, the coordinates of point P1 on the curve are (x1,y1). Let the slope of the tangent line to the curve at point P1 be denoted by m1. If you know the slope and a point through which the tangent line passes, you can determine the equation of that tangent line by using the pointslope form.

Thus, the equation of the tangent line, MP1,

is

The normal to a curve at a point (x1,y1) is the line perpendicular to the tangent line at that point. The slope of the normal line, m2, is

Figure 3-S.-Curve with tangent and normal lines.

where, as before, the slope of the tangent line is m1. This is shown in the following:

If

then

therefore,

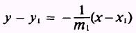
The equation of the normal line through P1 is

Notice that since the slope of the tangent line is m, and the slope of the line which is normal to the tangent is m2 and

then the product of the slopes of the tangent and normal lines equals -1. The relationship between the slopes of the tangent and normal lines is stated more formally as follows: The slope of the normal line is the negative reciprocal of the slope of the tangent line.

Another approach to show the relationship between the slopes of the tangent and normal lines follows: The inclination of one line must be 900 greater than the other. Then

if

then

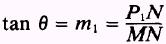
We know from trigonometry that

Therefore,

The length of the tangent is defined as that portion of the tangent line between the point P1 (x1,y1) and the point where the tangent line crosses the X axis. In figure 3-5, the length of the tangent is the line MP,.

The length of the normal is defined as that portion of the normal line between the point P1 and the X axis; that is the line, P1R1 which is perpendicular to the tangent line.

As shown in figure 3-5,.the lengths of the tangent and normal may be found by using the Pythagorean theorem.

From triangle MP1N, in figure 3-5,

and

Since

then

In triangle NP1R,

and

Thus, the length of the tangent is equal to

and the length of the normal is equal to

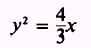
EXAMPLE. Find the equation of the tangent line, the equation of the normal line, and the lengths of the tangent and the normal of

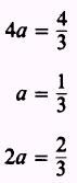
SOLUTION: Find the value of 2a from

Since

then

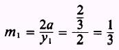
The slope is

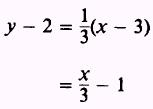
Using the point-slope form of a straight line, we have

then, at point (3,2)

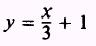
and

which is the equation of the tangent line.

Use the negative reciprocal of the slope to find the equation of the normal line as follows:

then

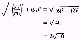
To find the length of the tangent, we use the Pythagorean theorem. Thus, the length of the tangent is

The length of the normal is equal to

PRACTICE PROBLEMS:

Find the equations of the tangent line and the normal line, and the lengths of the tangent and the normal for the following:

 



Managed Security Service Provider


Privacy Statement - Copyright Information. - Contact Us

Integrated Publishing, Inc. - A (SDVOSB) Service Disabled Veteran Owned Small Business