Share on Google+Share on FacebookShare on LinkedInShare on TwitterShare on DiggShare on Stumble Upon
Custom Search
 
  

TANGENT AT A GIVEN POINT ON THE STANDARD PARABOLA

The standard parabola is represented by the equation

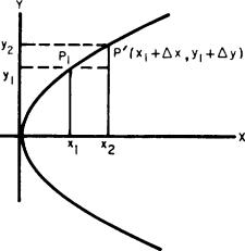
Let P1 with coordinates (x1,y1) be a point on the curve. Choose P' on the curve, figure 3-4, near the given point so that the coordinates of P' are (x2,y2). As previously stated

Figure 3-4.-Parabola.

 

and

so that by rearranging terms, the coordinates of P' may be written as

Since P' is a point on the curve,

y2 = 4ax

the values of its coordinates may be substituted for x and y. This gives

or

The point P1(x1,y1) also lies on the curve, so we have

Substituting this value for y; into equation (3.1) transforms it into

Simplifying, we obtain

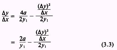
Divide both sides by Ax, obtaining

which gives

Solving for we find

Before proceeding, we need to discuss the term

 

in equation (3.3). If we solve equation (3.2) for y, we find

then

and

Since the denominator contains a term not dependent upon y or x, as we let x approach zero, y will also approach zero.

NOTE: We may find a value for Ax that will make y less than 1; then when y is squared, it will approach zero at least as rapidly as x does.

We now refer to equation (3.3) again and make the statement

so that we may disregard ,

since it approaches zero when Ax approaches zero.

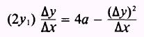
Then

The quantity is the slope of the line connecting P1 and P. From figure 3-4, the slope of the curve at P, is obviously different from the slope of the line connecting P1 and P'.

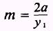
As x and y approach zero, the ratio will approach more and more closely the true slope of the curve at P1. We designate the slope by m. Thus, as x approaches zero, equation (3.4) becomes

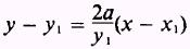
The equation for a straight line in the point-slope form is

Substituting for m gives

Clearing fractions, we have

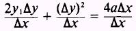
but

Adding equations (3.5) and (3.6) yields

Dividing by y1 gives

which is an equation of a straight line in the slope-intercept form. This is the equation of the tangent line to the parabola

at the point (x1,y1).

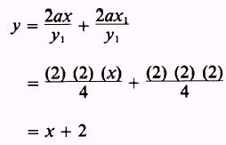
EXAMPLE: Given the equation

find the slope of the curve and the equation of the tangent line at the point (2,4).

SOLUTION:

has the form

where

and

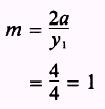
2a=4

The slope, m, at point (2,4) becomes

Since the slope of the line is 1, then the equation of the tangent to the curve at the point (2,4) is



Managed Security Service Provider


Privacy Statement - Copyright Information. - Contact Us

Integrated Publishing, Inc. - A (SDVOSB) Service Disabled Veteran Owned Small Business