Share on Google+Share on FacebookShare on LinkedInShare on TwitterShare on DiggShare on Stumble Upon
Custom Search
 
  

 

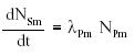
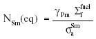
The fission yield of samarium-149, however, is nearly zero; therefore, the equation becomes the following.

Solving this equation for the equilibrium concentration of samarium-149 and substituting

 yields the following.

This expression for equilibrium samarium-149 concentration during reactor operation illustrates that equilibrium samarium-149 concentration is independent of neutron flux and power level. The samarium concentration will undergo a transient following a power level change, but it will return to its original value.

Samarium-149 Response to Reactor Shutdown

Since the neutron flux drops to essentially zero after reactor shutdown, the rate of samarium-149

production becomes the following.

Because samarium-149 is not radioactive and is not removed by decay, it presents problems somewhat different from those encountered with xenon-135, as illustrated in Figure 7. The equilibrium concentration and the poisoning effect build to an equilibrium value during reactor operation. This equilibrium is reached in approximately 20 days (500 hours), and since samarium-149 is stable, the concentration remains essentially constant during reactor operation. When the reactor is shutdown, the samarium-149 concentration builds up as a result of the decay of the accumulated promethium-149. The buildup of samarium-149 after shutdown depends upon the power level before shutdown. Samarium-149 does not peak as xenon-135 does, but increases slowly to a maximum value as shown in Figure 7. After shutdown, if the reactor is then operated at power, samarium-149 is burned up and its concentration returns to the equilibrium value. Samarium poisoning is minor when compared to xenon poisoning. Although samarium-149 has a constant poisoning effect during long-term sustained operation, its behavior during initial startup and during post-shutdown and restart periods requires special considerations in reactor design.

Figure 7            Behavior of Samarium-149 in a Typical Light Water Reactor

The xenon-135 and samarium-149 mechanisms are dependent on their very large thermal neutron cross sections and only affect thermal reactor systems. In fast reactors, neither these nor any other fission products have a major poisoning influence.

Other Neutron Poisons

There are numerous other fission products that, as a result of their concentration and thermal neutron absorption cross section, have a poisoning effect on reactor operation. Individually, they are of little consequence, but "lumped" together they have a significant impact. These are often characterized as "lumped fission product poisons" and accumulate at an average rate of 50 barns per fission event in the reactor.

In addition to fission product poisons, other materials in the reactor decay to materials that act as neutron poisons. An example of this is the decay of tritium to helium-3. Since tritium has a half-life of 12.3 years, normally this decay does not significantly affect reactor operations because the rate of decay of tritium is so slow. However, if tritium is produced in a reactor and then allowed to remain in the reactor during a prolonged shutdown of several months, a



Managed Security Service Provider
 


Privacy Statement - Copyright Information. - Contact Us

Integrated Publishing, Inc. - A (SDVOSB) Service Disabled Veteran Owned Small Business