Share on Google+Share on FacebookShare on LinkedInShare on TwitterShare on DiggShare on Stumble Upon
Custom Search
 
  

 
PRODUCT POISONS

The fission product poison that has the most significant effect on reactor operations other than xenon-135 is samarium-149. Samarium-149 behaves significantly different from xenon-135 due to its different nuclear properties.

EO 4.10 DESCRIBE how samarium-149 is produced and removed from the reactor core during reactor operation.

EO 4.11 STATE the equation for equilibrium samarium-149 concentration.

EO 4.12 DESCRIBE how equilibrium samarium-149 concentration varies with reactor power level.

EO 4.13 DESCRIBE how samarium-149 concentration changes following a reactor shutdown from steady-state conditions.

EO 4.14 DESCRIBE how samarium-149 concentration changes following a reactor startup.

EO 4.15 STATE the conditions under which helium-3 will have a significant effect on the reactivity of a reactor.

Production and Removal of Samarium-149

Samarium-149 is the second most important fission-product poison because of its high thermal neutron absorption cross section of 4.1 x 104 barns. Samarium-149 is produced from the decay of the neodymium-149 fission fragment as shown in the decay chain below.

For the purpose of examining the behavior of samarium-149, the 1.73 hour half-life of neodymium-149 is sufficiently shorter than the 53.1 hour value for promethium-149 that the promethium-149 may be considered as if it were formed directly from fission. This assumption, and neglecting the small amount of promethium bunup, allows the situation to be described as follows.

Rate of change of 149pM = yield from fission - decay 149pM concentration

therefore:

where:

Solving for the equilibrium value of promethium-149 gives the following.

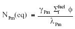
The rate of samarium-149 formation is described as follows.

Rate of change of 149SM = yield from fission + 149Pmdecay - 149Sm burnup therefore:

where:



Managed Security Service Provider
 


Privacy Statement - Copyright Information. - Contact Us

Integrated Publishing, Inc. - A (SDVOSB) Service Disabled Veteran Owned Small Business