Share on Google+Share on FacebookShare on LinkedInShare on TwitterShare on DiggShare on Stumble Upon
Custom Search
 
  

 

sufficient amount of tritium may decay to helium-3 to add a significant amount of negative reactivity. Any helium-3 produced in the reactor during a shutdown period will be removed during subsequent operation by a neutron-proton reaction.

Summarv

The important information in this chapter is summarized below.

Samarium and Other Fission Product Poisons Summary

Samarium-149 is produced directly from fission and from the decay of promethium-149 during reactor operation. Samarium-149 is removed from the core by neutron absorption.

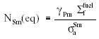
The equation for equilibrium samarium-149 concentration is stated below.

The equilibrium samarium-149 concentration is independent of power level.

Following a reactor shutdown, the samarium-149 concentration increases due to the decay of the promethium-149 inventory of the core and the loss of the burnup factor.

If the reactor is restarted following a shutdown, the samarium-149 concentration decreases as samarium is burned up and returns to its equilibrium operating value.

Helium-3 will become a significant neutron poison if significant amounts of tritium are left in a reactor during a shutdown period that lasts longer than several months.



Managed Security Service Provider
 


Privacy Statement - Copyright Information. - Contact Us

Integrated Publishing, Inc. - A (SDVOSB) Service Disabled Veteran Owned Small Business