Share on Google+Share on FacebookShare on LinkedInShare on TwitterShare on DiggShare on Stumble Upon
Custom Search
 
  

 

Many practical problems can be solved using arithmetic and algebra; however, many other practical problems involve quantities that cannot be adequately described using numbers which have fixed values.

EO 4.1STATE the graphical definition of a derivative.

EO 4.2STATE the graphical definition of an integral.

Dynamic Systems

Arithmetic involves numbers that have fixed values. Algebra involves both literal and arithmetic numbers. Although the literal numbers in algebraic problems can change value from one calculation to the next, they also have fixed values in a given calculation. When a weight is dropped and allowed to fall freely, its velocity changes continually. The electric current in an alternating current circuit changes continually. Both of these quantities have a different value at successive instants of time. Physical systems that involve quantities that change continually are called dynamic systems. The solution of problems involving dynamic systems often involves mathematical techniques different from those described in arithmetic and algebra. Calculus involves all the same mathematical techniques involved in arithmetic and algebra, such as addition, subtraction, multiplication, division, equations, and functions, but it also involves several other techniques. These techniques are not difficult to understand because they can be developed using familiar physical systems, but they do involve new ideas and terminology.

There are many dynamic systems encountered in nuclear facility work. The decay of radioactive materials, the startup of a reactor, and a power change on a turbine generator all involve quantities which change continually. An analysis of these dynamic systems involves calculus. Although the operation of a nuclear facility does not require a detailed understanding of calculus, it is most helpful to understand certain of the basic ideas and terminology involved. These ideas and terminology are encountered frequently, and a brief introduction to the basic ideas and terminology of the mathematics of dynamic systems is discussed in this chapter.

Differentials and Derivatives

One of the most commonly encountered applications of the mathematics of dynamic systems involves the relationship between position and time for a moving object. Figure 2 represents an object moving in a straight line from position PI to position P2. The distance to P1 from a fixed reference point, point 0, along the line of travel is represented by Sl; the distance to P2 from point 0 by S2.

Figure 2 Motion Between Two Points

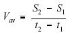
If the time recorded by a clock, when the object is at position P1 is tl, and if the time when the object is at position P2 is t2, then the average velocity of the object between points P1 and P2 equals the distance traveled, divided by the elapsed time.

If positions P1 and P2 are close together, the distance traveled and the elapsed time are small. The symbol , the Greek letter delta, is used to denote changes in quantities. Thus, the average velocity when positions P1 and P2 are close together is often written using deltas.

Although the average velocity is often an important quantity, in many cases it is necessary to know the velocity at a given instant of time. This velocity, called the instantaneous velocity, is not the same as the average velocity, unless the velocity is not changing with time.

Using the graph of displacement, S, versus time, t, in Figure 3, we will try to describe the concept of the derivative.

Figure 3 Displacement Versus Time

Using equation 5-1 we find the average velocity from S1 to S2 is .If we connect the points S1 and S2 by a straight line we see it does not accurately reflect the slope of the curved line through all the points between S1 and S2. Similarly, if we look at the average velocity between time t2 and t3 (a smaller period of time), we see the straight line connecting S2 and S3 more closely follows the curved line. Assuming the time between t3 and t4 is less than between t2 and t3, the straight line connecting S3 and S4 very closely approximates the curved line between S3 and S4.

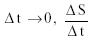
As we further decrease the time interval between successive points, the expression more closely approximates the slope of the displacement curve. As approaches the At instantaneous velocity. The expression for the derivative (in this case the slope of the displacement curve) can be written .In words, this expression would be "the derivative of S with respect to time (t) is the limit of as approaches 0."

The symbols ds and dt are not products of d and s, or of d and t, as in algebra. Each represents a single quantity. They are pronounced "dee-ess" and "dee-tee," respectively. These expressions and the quantities they represent are called differentials. Thus, ds is the differential of s and dt is the differential of t. These expressions represent incremental changes, where ds represents an incremental change in distance s, and dt represents an incremental change in time t.

The combined expression ds/dt is called a derivative; it is the derivative of s with respect to t. It is read as "dee-ess dee-tee." dz/dx is the derivative of z with respect to x; it is read as "dee-zee dee-ex." In simplest terms, a derivative expresses the rate of change of one quantity with respect to another. Thus, ds/dt is the rate of change of distance with respect to time. Referring to figure 3, the derivative ds/dt is the instantaneous velocity at any chosen point along the curve. This value of instantaneous velocity is numerically equal to the slope of the curve at that chosen point.

While the equation for instantaneous velocity, V = ds/dt, may seem like a complicated expression, it is a familiar relationship. Instantaneous velocity is precisely the value given by the speedometer of a moving car. Thus, the speedometer gives the value of the rate of change of distance with respect to time; it gives the derivative of s with respect to t; i.e. it gives the value of ds/dt.

The ideas of differentials and derivatives are fundamental to the application of mathematics to dynamic systems. They are used not only to express relationships among distance traveled, elapsed time and velocity, but also to express relationships among many different physical quantities. One of the most important parts of understanding these ideas is having a physical interpretation of their meaning. For example, when a relationship is written using a differential or a derivative, the physical meaning in terms of incremental changes or rates of change should be readily understood.

When expressions are written using deltas, they can be understood in terms of changes. Thus, the expression T, where T is the symbol for temperature, represents a change in temperature. As previously discussed, a lower case delta, d, is used to represent very small changes. Thus, dT represents a very small change in temperature. The fractional change in a physical quantity is the change divided by the value of the quantity. Thus, dT is an incremental change in temperature, and dT/T is a fractional change in temperature. When expressions are written as derivatives, they can be understood in terms of rates of change. Thus, dTldt is the rate of change of temperature with respect to time.

Examples:

1. Interpret the expression V/V, and write it in terms of a differential. V/V expresses the fractional change of velocity. It is the change in velocity divided by the velocity. It can be written as a differential when V is taken as an incremental change.

2. Give the physical interpretation of the following equation relating the work W done when a force F moves a body through a distance x.

This equation includes the differentials dW and dx which can be interpreted in terms of incremental changes. The incremental amount of work done equals the force applied multiplied by the incremental distance moved.

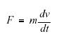
3. Give the physical interpretation of the following equation relating the force, F, applied to an object, its mass m, its instantaneous velocity v and time t.

This equation includes the derivative dv/dt; the derivative of the velocity with respect to time. It is the rate of change of velocity with respect to time. The force applied to an object equals the mass of the object multiplied by the rate of change of velocity with respect to time.

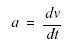
4. Give the physical interpretation of the following equation relating

the acceleration a, the velocity v, and the time t.

This equation includes the derivative dv/dt; the derivative of the velocity with respect to time. It is a rate of change. The acceleration equals the rate of change of velocity with respect to time.



Managed Security Service Provider
 


Privacy Statement - Copyright Information. - Contact Us

Integrated Publishing, Inc. - A (SDVOSB) Service Disabled Veteran Owned Small Business