Share on Google+Share on FacebookShare on LinkedInShare on TwitterShare on DiggShare on Stumble Upon
Custom Search
 
  

 
MATRICES AND DETERMINANTS

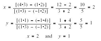
Solution:

solving each 2 x 2 for its determinant,

A 3 x 3 is solved by using the same logic, except each 3 x 3 must be expanded by minors to solve for the determinant.

Example:

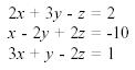
Given the following three equations, solve for the three unknowns.

Solution:

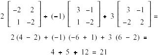
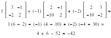
Expanding the top matrix for x using the elements in the bottom row gives:

Expanding the bottom matrix for x using the elements in the first column gives:

This gives:

y and z can be expanded using the same method.

Summary

The use of matrices and determinants is summarized below.

Matrices and Determinant Summary

The dimensions of a matrix are given as m x n, where m = number of rows and n = number of columns.

The use of determinants and matrices to solve linear equations is done by:

placing the coefficients and constants into a determinant format.

substituting the constants in place of the coefficients of the variable to be solved for.

dividing the new-formed substituted determinant by the original determinant of coefficients.

expanding the determinant.



Managed Security Service Provider
 


Privacy Statement - Copyright Information. - Contact Us

Integrated Publishing, Inc. - A (SDVOSB) Service Disabled Veteran Owned Small Business