|
Matrices to Solve System of Linear Equation (Cramer's Rule) Matrices
and their determinant can be used to solve a system of equations. This method
becomes especially attractive when large numbers of unknowns are involved. But
the method is still useful in solving algebraic equations containing two and
three unknowns.
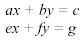
In
part one of this chapter, it was shown that equations could be organized such
that their coefficients could be written as a matrix.

where:
x
and y are variables

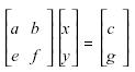
The equations can be rewritten in matrix form as follows:

To solve for each variable, the matrix containing the
constants (c,g) is substituted in place of the column containing the
coefficients of the variable that we want to solve for (a,e or b f ). This new
matrix is divided by the original coefficient matrix. This process is call
"Cramer's Rule."
Example:
In the above problem to solve for x,

and to solve for y,

Example:
Solve the following two equations:

|