Share on Google+Share on FacebookShare on LinkedInShare on TwitterShare on DiggShare on Stumble Upon
Custom Search
 
  

 
Understanding of Derivatives

A function expresses a relationship between two or more variables. For example, the distance traveled by a moving body is a function of the body's velocity and the elapsed time. When a functional relationship is presented in graphical form, an important understanding of the meaning of derivatives can be developed.

Figure 4 is a graph of the distance traveled by an object as a function of the elapsed time. The functional relationship shown is given by the following equation:

The instantaneous velocity v, which is the velocity at a given instant of time, equals the derivative of the distance traveled with respect to time, ds/dt. It is the rate of change of s with respect to t.

The value of the derivative ds/dt for the case plotted in Figure 4 can be understood by considering small changes in the two variables s and t.

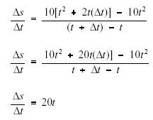
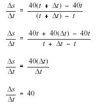
The values of (s+s) and s in terms of (t + t) and t, using Equation 5-4 can now be substituted into this expression. At time t, s =40t; at time t + t, s = s + s = 40(t+t)

The value of the derivative ds/dt in the case plotted in Figure 4 is a constant. It equals 40 ft/s. In the discussion of graphing, the slope of a straight line on a graph was defined as the change in y, y, divided by the change in x, x. The slope of the line in Figure 4 is s/t which, in this case, is the value of the derivative ds/dt. Thus, derivatives of functions can be interpreted in terms of the slope of the graphical plot of the function. Since the velocity equals the derivative of the distance s with respect to time t, ds/dt, and since this derivative equals the slope of the plot of distance versus time, the velocity can be visualized as the slope of the graphical plot of distance versus time.

For the case shown in Figure 4, the velocity is constant. Figure 5 is another graph of the distance traveled by an object as a function of the elapsed time. In this case the velocity is not constant. The functional relationship shown is given by the following equation:

The instantaneous velocity again equals the value of the derivative ds/dt. This value is changing with time. However, the instantaneous velocity at any specified time can be determined. First, small changes in s and t are considered.

The values of (s + As) and s in terms of

(t + At) and t using Equation 5-5, can then be substituted into this expression. At time t, s = 10t; at time t + t, s + As = 10(t + t)2 The value of (t + t)2 equals t2+ 2t(t) + (t)2 however, for incremental values of t, the term (t)2 is so small, it can be neglected. Thus, (t + t)2 = t2 + 2t(t).

Figure 5 Graph of Distance vs. Time

The value of the derivative ds/dt in the case plotted in Figure 5 equals 20t. Thus, at time t = 1 s, the instantaneous velocity equals 20 ft/s; at time t = 2 s, the velocity equals 40 ft/s, and so on.

When the graph of a function is not a straight line, the slope of the plot is different at different points. The slope of a curve at any point is defined as the slope of a line drawn tangent to the curve at that point. Figure 6 shows a line drawn tangent to a curve. A tangent line is a line that touches the curve at only one point. The line AB is tangent to the

Figure 6 Slope of a Curve

curve y = f(x) at point P.

The tangent line has the slope of the curve dy/dx, where, is the angle between the tangent line AB and a line parallel to the x-axis. But, tan also equals y/x for the tangent line AB, and y/x is the slope of the line. Thus, the slope of a curve at any point equals the slope of the line drawn tangent to the curve at that point. This slope, in turn, equals the derivative of y with respect to x, dy/dx, evaluated at the same point.

These applications suggest that a derivative can be visualized as the slope of a graphical plot. A derivative represents the rate of change of one quantity with respect to another. When the relationship between these two quantities is presented in graphical form, this rate of change equals the slope of the resulting plot.

The mathematics of dynamic systems involves many different operations with the derivatives of functions. In practice, derivatives of functions are not determined by plotting the functions and finding the slopes of tangent lines. Although this approach could be used, techniques have been developed that permit derivatives of functions to be determined directly based on the form of the functions. For example, the derivative of the function f(x) = c, where c is a constant, is zero. The graph of a constant function is a horizontal line, and the slope of a horizontal line is zero.

The derivative of the function f(x) = ax + c (compare to slope m from general form of linear equation, y = mx + b), where a and c are constants, is a. The graph of such a function is a straight line having a slope equal to a.

The derivative of the function f(x) = axn where a and n are constants, is naxn-1.

The derivative of the function f(x) = aebx,where a and b are constants and e is the base of natural logarithms, is abebx.

These general techniques for finding the derivatives of functions are important for those who perform detailed mathematical calculations for dynamic systems. For example, the designers of nuclear facility systems need an understanding of these techniques, because these techniques are not encountered in the day-to-day operation of a nuclear facility. As a result, the operators of these facilities should understand what derivatives are in terms of a rate of change and a slope of a graph, but they will not normally be required to find the derivatives of functions.

The notation d[f(x)]/dx is the common way to indicate the derivative of a function. In some

applications, the notation f(x) is used. In other applications, the so-called dot notation is used to indicate the derivative of a function with respect to time. For example, the derivative of the

amount of heat transferred, Q, with respect to time, dQ/dt, is often written as Q .

It is also of interest to note that many detailed calculations for dynamic systems involve not only one derivative of a function, but several successive derivatives. The second derivative of a function is the derivative of its derivative; the third derivative is the derivative of the second derivative, and so on. For example, velocity is the first derivative of distance traveled with respect to time, v = ds/dt; acceleration is the derivative of velocity with respect to time, a = dv/dt. Thus, acceleration is the second derivative of distance traveled with respect to time. This is written as ds/dt2. The notation d2[f(x)]/dx2is the common way to indicate the second derivative

of a function. In some applications, the notation f#(x) is used. The notation for third, fourth, and higher order derivatives follows this same format. Dot notation can also be used for higher order derivatives with respect to time. Two dots indicates the second derivative, three dots the third derivative, and so on.



Managed Security Service Provider
 


Privacy Statement - Copyright Information. - Contact Us

Integrated Publishing, Inc. - A (SDVOSB) Service Disabled Veteran Owned Small Business