Share on Google+Share on FacebookShare on LinkedInShare on TwitterShare on DiggShare on Stumble Upon
Custom Search
 
  

 

This chapter will explain the idea of matrices and determinate and the rules needed to apply matrices in the solution of simultaneous equations.

EO 3.1DETERMINE the dimensions of a given matrix.

EO 3.2SOLVE a given set of equations using Cramer's Rule.

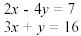
In the real world, many times the solution to a problem containing a large number of variables is required. In both physics and electrical circuit theory, many problems will be encountered which contain multiple simultaneous equations with multiple unknowns. These equations can be solved using the standard approach of eliminating the variables or by one of the other methods. This can be difficult and time-consuming. To avoid this problem, and easily solve families of equations containing multiple unknowns, a type of math was developed called Matrix theory.

Once the terminology and basic manipulations of matrices are understood, matrices can be used to readily solve large complex systems of equations.

The Matrix

We define a matrix as any rectangular array of numbers. Examples of matrices may be formed from the coefficients and constants of a system of linear equations: that is,

can be written as follows.

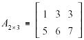
The numbers used in the matrix are called elements. In the example given, we have three columns and two rows of elements. The number of rows and columns are used to determine the dimensions of the matrix. In our example, the dimensions of the matrix are 2 x 3, having 2 rows and 3 columns of elements. In general, the dimensions of a matrix which have m rows and n columns is called an m x n matrix.

A matrix with only a single row or a single column is called either a row or a column matrix. A matrix which has the same number of rows as columns is called a square matrix. Examples of matrices and their dimensions are as follows:

We will use capital letters to describe matrices. We will also include subscripts to give the dimensions.

Two matrices are said to be equal if, and only if, they have the same dimensions, and their corresponding elements are equal. The following are all equal matrices:

Addition of Matrices

Matrices may only be added if they both have the same dimensions. To add two matrices, each element is added to its corresponding element. The sum matrix has the same dimensions as the two being added.

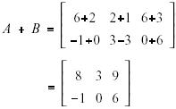
Example:

Add matrix A to matrix B.

Solution:



Managed Security Service Provider
 


Privacy Statement - Copyright Information. - Contact Us

Integrated Publishing, Inc. - A (SDVOSB) Service Disabled Veteran Owned Small Business