Share on Google+Share on FacebookShare on LinkedInShare on TwitterShare on DiggShare on Stumble Upon
Custom Search
 
  

 

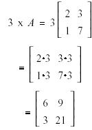
Multiplication of a Scalar and a Matrix

When multiplying a matrix by a scalar (or number), we write "scalar K times matrix A." Each element of the matrix is multiplied by the scalar. By example:

then

Multiplication of a Matrix by a Matrix

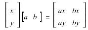
To multiply two matrices, the first matrix must have the same number of rows (m) as the second matrix has columns (n). In other words, m of the first matrix must equal n of the second matrix. For example, a 2 x I matrix can be multiplied by a I x 2 matrix,

or a 2 x 2 matrix can be multiplied by a 2 x 2. If an m x n matrix is multiplied by an n x p matrix, then the resulting matrix is an m x p matrix. For example, if a 2 x I and a I x 2 are multiplied, the result will be a 2 x 2. If a 2 x 2 and a 2 x 2 are multiplied, the result will be a 2x2.

To multiply two matrices, the following pattern is used:

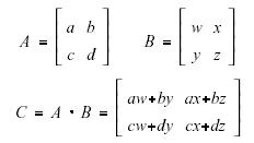
In general terms, a matrix C which is a product of two matrices, A and B, will have elements given by the following.

where

i=ithrow

j = jth column

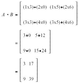
Example:

Multiply the matrices A x B.

Solution:

It should be noted that the multiplication of matrices is not usually commutative.



Managed Security Service Provider
 


Privacy Statement - Copyright Information. - Contact Us

Integrated Publishing, Inc. - A (SDVOSB) Service Disabled Veteran Owned Small Business