Share on Google+Share on FacebookShare on LinkedInShare on TwitterShare on DiggShare on Stumble Upon
Custom Search
 
  

 

Complex Numbers

Complex numbers are numbers which consist of a real part and an imaginary part. The solution of some quadratic and higher degree equations results in complex numbers. For example, the roots of the quadratic equation, x2 - 4x + 13 = 0, are complex numbers. Using the quadratic formula yields two complex numbers as roots.

The two roots are 2 + 3i and 2 - 3i; they are both complex numbers. 2 is the real part; +3i and - 3i are the imaginary parts. The general form of a complex number is a + bi, in which "a" represents the real part and "bi" represents the imaginary part.

Complex numbers are added, subtracted, multiplied, and divided like algebraic binomials. Thus, the sum of the two complex numbers, 7 + 5i and 2 + 3i is 9 + 8i, and 7 + 5i minus 2 + 3i, is 5 + 2i. Similarly, the product of 7 + 5i and 2 + 3i is 14 + 31i +15 i2. But i2 equals -1. Thus, the product is 14 + 31i + 15(-1) which equals -1 + 31i.

Example 1:

Combine the following complex numbers:

(4+3i)+(8-2i)-(7+3i)=

Solution:

(4+3i)+(8-2i)-(7+3i)=(4+8-7)+(3-2-3)i

=5-2i

Example 2:

Multiply the following complex numbers:

(3 + 5i)(6 - 2i)=

Solution:

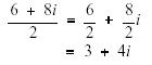
Example 3:

Solution:

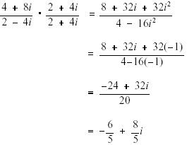
A difficulty occurs when dividing one complex number by another complex number. To get around this difficulty, one must eliminate the imaginary portion of the complex number from the denominator, when the division is written as a fraction. This is accomplished by multiplying the numerator and denominator by the conjugate form of the denominator. The conjugate of a complex number is that complex number written with the opposite sign for the imaginary part. For example, the conjugate of 4+5i is 4-5i.

This method is best demonstrated by example.

Example:

Solution:

Summary

The important information from this chapter is summartized below.

Imaginary and Complex Numbers Summary

Imaginary Number

An Imaginary number is the square root of a negative number.

Complex Number

A complex number is any number that contains both a real and imaginary term.

Addition and Subtraction of Complex Numbers

Add/subtract the real terms together, and add/subtract the imaginary terms of each complex number together. The result will be a complex number.

Multiplication of Complex Numbers

Treat each complex number as an algebraic term and multiply/divide using rules of algebra. The result will be a complex number.

Division of Complex Numbers

Put division in fraction form and multiply numerator and denominator by the conjugate of the denominator.

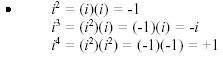
Rules of the Imaginary Number i



Managed Security Service Provider
 


Privacy Statement - Copyright Information. - Contact Us

Integrated Publishing, Inc. - A (SDVOSB) Service Disabled Veteran Owned Small Business