Share on Google+Share on FacebookShare on LinkedInShare on TwitterShare on DiggShare on Stumble Upon
Custom Search
 
  

 

This chapter will cover the definitions and rules for the application of imaginary and complex numbers.

EO 2.1STATE the definition of an imaginary number.

EO 2.2STATE the definition of a complex number.

EO 2.3APPLY the arithmetic operations of addition, subtraction, and multiplication, and division to complex numbers.

Imaginary and complex numbers are entirely different from any kind of number used up to this point. These numbers are generated when solving some quadratic and higher degree equations. Imaginary and complex numbers become important in the study of electricity; especially in the study of alternating current circuits.

Imaginary Numbers

Imaginary numbers result when a mathematical operation yields the square root of a negative number. For example, in solving the quadratic equation x2 + 25 = 0, the solution yields x2 = -25.

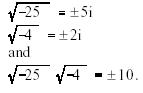
Thus, the roots of the equation are . The square root of (-25) is called an imaginary number. Actually, any even root (i.e. square root, 4th root, 6th root, etc.) of a negative number is called an imaginary number. All other numbers are called real numbers. The name "imaginary" may be somewhat misleading since imaginary numbers actually exist and can be used in mathematical operations. They can be added, subtracted, multiplied, and divided.

Imaginary numbers are written in a form different from real numbers. Since they are radicals, they can be simplified by factoring. Thus, the imaginary numberequals, which equals . Similarly, equals, which equals . All imaginary numbers can be simplified in this way. They can be written as the product of a real number and . In order to further simplify writing imaginary numbers, the imaginary unit i is defined as Thus, the imaginary number, , which equals , is written as 5i, and the imaginary number, , which equals , is written 3i. In using imaginary numbers in electricity, the imaginary unit is often represented by j, instead of i, since i is the common notation for electrical current.

Imaginary numbers are added or subtracted by writing them using the imaginary unit i and then adding or subtracting the real number coefficients of i. They are added or subtracted like

algebraic terms in which the imaginary unit i is treated like a literal number. Thus, and are added by writing them as 5i and 3i and adding them like algebraic terms. The result is 8i which equals or. Similarly, subtracted fromequals 3i subtracted from 5i which equals 2i or or .

Example:

Combine the following imaginary numbers:

Solution:

Thus, the result is 2i = 2~ 1

Imaginary numbers are multiplied or divided by writing them using the imaginary unit i, and then multiplying or dividing them like algebraic terms. However, there are several basic relationships which must also be used to multiply or divide imaginary numbers.

Using these basic relationships, for example, equals (5i)(2i) which equals 10i2. But, i2 equals -1. Thus, 10i2 equals (10)(-1) which equals -10.

Any square root has two roots, i.e., a statement x2 = 25 is a quadratic and has roots

x = 5 since +52 = 25 and (-5) x (-5) = 25.

Similarly,

Example 1:

Solution:

Example 2:

Solution:



Managed Security Service Provider
 


Privacy Statement - Copyright Information. - Contact Us

Integrated Publishing, Inc. - A (SDVOSB) Service Disabled Veteran Owned Small Business