Share on Google+Share on FacebookShare on LinkedInShare on TwitterShare on DiggShare on Stumble Upon
Custom Search
 
  

 

This chapter covers changing the base of a logarithm and solving problems with logarithms.

EO 1.6STATE the definition of a logarithm.

EO 1.7CALCULATE the logarithm of a number.

Calculator Usage, Special Keys

This chapter will require the use of certain keys on a calculator to perform the necessary calculations. An understanding of the functions of each key will make logarithms (logs) an easy task.

Common Logarithm key

This key when pressed will compute the common log (base 10) of the number x in the display, where x is greater than zero.

Natural Logarithm key

This key when pressed will compute the natural logarithm (base e) of the number x in the display, where x is greater than zero.

This key when pressed before the log and In keys will compute the antilog of the number x in the display. When used with the log key it will raise 10 to the displayed power (107.12) and when used with the In key will raise (e) to the displayed power (e-381).

Introduction

Logarithms are exponents, as will be explained in the following sections. Before the advent of calculators, logarithms had great use in multiplying and dividing numbers with many digits since adding exponents was less work than multiplying numbers. Now they are important in nuclear work because many laws governing physical behavior are in exponential form. Examples are radioactive decay, gamma absorption, and reactor power changes on a stable period.

Definition

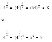
Any number (X) can be expressed by any other number b (except zero) raised to a power x; that is, there is always a value of x such that X = bX. For example, if X = 8 and b = 2, x = 3. For X = 8 and b = 4, 8 = 4' is satisfied if x = 3/2.

In the equation X = bX, the exponent x is the logarithm of X to the base b. Stated in equation form, x = logb X, which reads x is the logarithm to the base b of X. In general terms, the logarithm of a number to a base b is the power to which base b must be raised to yield the number. The rules for logs are a direct consequence of the rules for exponents, since that is what logs are. In multiplication, for example, consider the product of two numbers X and Y. Expressing each as b raised to a power and using the rules for exponents:

Now, equating the logo of the first and last terms, logo XY = logb bx+y.

Since the exponent of the base b (x+y) is the logarithm to the base b, Logb bx+y = x+y.

Logb XY = x+y

Similarily, since X = bX and Y = by, logb X = x and logb Y = y.Substituting these into the previous equation,

logb XY = logb X + logb Y

Before the advent of hand-held calculators it was common to use logs for multiplication (and division) of numbers having many significant figures. First, logs for the numbers to be multiplied were obtained from tables. Then, the numbers were added, and this sum (logarithm of the product) was used to locate in the tables the number which had this log. This is the product of the two numbers. A slide rule is designed to add logarithms as numbers are multiplied.

Logarithms can easily be computed with the calculator using the keys identified earlier.

Examples:

From the above illustration, it is evident that a logarithm is an exponent. 3' is called the exponential form of the number 81. In logarithmic form, 3' would be expressed as 1093 81 = 4, or the logarithm of 81 to the base 3 is 4. Note the symbol for taking the logarithm of the number 81 to a particular base 3, is 1093 81, where the base is indicated by a small number written to the right and slightly below the symbol log.



Managed Security Service Provider
 


Privacy Statement - Copyright Information. - Contact Us

Integrated Publishing, Inc. - A (SDVOSB) Service Disabled Veteran Owned Small Business