Share on Google+Share on FacebookShare on LinkedInShare on TwitterShare on DiggShare on Stumble Upon
Custom Search
 
  

 

Rules

Since logs are exponents, the rules governing logs are very similar to the laws of exponents. The most common log rules are the following:

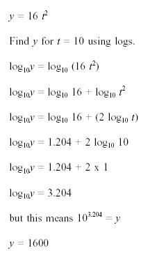
Example 1:

Solution:

Example 2: Calculate logl0 2 - logl0 3.

Solution:

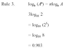
Example 3: Calculate 3logl0 2.

Solution:

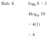
Example 4: Calculate 4loglo 10.

Solution:

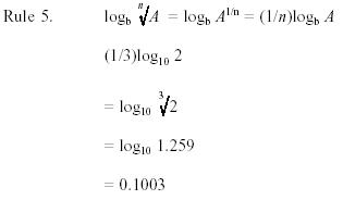
Example 5: Calculate (1/3)logl0 2.

Solution:

Example 6: Calculate logl0 1.

Solution:

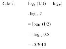
Example 7: Calculate -logl0 2.

Solution:



Managed Security Service Provider
 


Privacy Statement - Copyright Information. - Contact Us

Integrated Publishing, Inc. - A (SDVOSB) Service Disabled Veteran Owned Small Business