Share on Google+Share on FacebookShare on LinkedInShare on TwitterShare on DiggShare on Stumble Upon
Custom Search
 
  

 

Word Problems Involving Quadratic Equations

Many algebraic word problems involve quadratic equations. Any time the algebraic expressions describing the relationships in the problem involve a quantity multiplied by itself, a quadratic equation must be used to solve the problem. The steps for solving word problems involving quadratic equations are the same as for solving word problems involving linear equations.

Example:

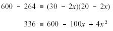
A radiation control point is set up near a solid waste disposal facility. The pad on which the facility is set up measures 20 feet by 30 feet. If the health physicist sets up a controlled walkway around the pad that reduces the area by 264 square feet, how wide is the walkway?

Solution:

Step 1.Let x = Width of the Walkway

Step 2.Then,

30 - 2x = Length of Reduced Pad

20 - 2x = Width of Reduced Pad

Step 3.Area of Reduced Pad = (Length of Reduced Pad)(Width of Reduced Pad)

Step 4.Solve this quadratic equation.

4x2 - 100x + 264 = 0

Using the Quadratic Formula, substitute the coefficients for a, b, and c and solve for x.

The two roots are x = 22 feet and x = 3 feet. Since x = 22 feet is not physically meaningful, the answer is x = 3 feet.

Step 5.Check the answer.

The area of the reduced area pad is 264 square feet less than the area of the original pad.

Thus, the answer checks.

Summary

The important information from this chapter is summarized below.

Algebraic Word Problems Summary

Algebraic word problems can easily be solved by following these five basic steps:

Step 1.Let some letter, such as x, represent one of the unknowns.

Step 2.Express the other unknowns in terms of x using the information given in the problem.

Step 3.Write an equation that represents in symbols exactly what the problem states in words.

Step 4.Solve the equation.

Step 5.Check the answer to see that it satisfies the conditions stated in the problem.



Managed Security Service Provider
 


Privacy Statement - Copyright Information. - Contact Us

Integrated Publishing, Inc. - A (SDVOSB) Service Disabled Veteran Owned Small Business