Share on Google+Share on FacebookShare on LinkedInShare on TwitterShare on DiggShare on Stumble Upon
Custom Search
 
  

 

This chapter covers solving for two unknowns using simultaneous equations.

EO1.4 Given simultaneous equations, SOLVE for the unknowns.

Many practical problems that can be solved using algebraic equations involve more than one unknown quantity. These problems require writing and solving several equations, each of which contains one or more of the unknown quantities. The equations that result in such problems are called simultaneous equations because all the equations must be solved simultaneously in order to determine the value of any of the unknowns. The group of equations used to solve such problems is called a system of equations.

The number of equations required to solve any problem usually equals the number of unknown quantities. Thus, if a problem involves only one unknown, it can be solved with a single equation. If a problem involves two unknowns, two equations are required. The equation x + 3 = 8 is an equation containing one unknown. It is true for only one value of x: x = 5. The equation x + y = 8 is an equation containing two unknowns. It is true for an infinite set of xs and ys. For example: x = 1, y = 7; x = 2, y = 6;x= 3,y=5; and x = 4, y = 4 are just a few of the possible solutions. For a system of two linear equations each containing the same two unknowns, there is a single pair of numbers, called the solution to the system of equations, that satisfies both equations. The following is a system of two linear equations:

2x+y=9 x-y=3

The solution to this system of equations is x = 4, y = 1 because these values of x and y satisfy both equations. Other combinations may satisfy one or the other, but only x = 4, y = 1 satisfies both.

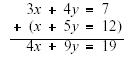
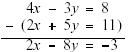
Systems of equations are solved using the same four axioms used to solve a single algebraic equation. However, there are several important extensions of these axioms that apply to systems of equations. These four axioms deal with adding, subtracting, multiplying, and dividing both sides of an equation by the same quantity. The left-hand side and the right-hand side of any equation are equal. They constitute the same quantity, but are expressed differently. Thus, the left-hand and right-hand sides of one equation can be added to, subtracted from, or used to multiply or divide the left-hand and right-hand sides of another equation, and the resulting equation will still be true. For example, two equations can be added.

Adding the second equation to the first corresponds to adding the same quantity to both sides of the first equation. Thus, the resulting equation is still true. Similarly, two equations can be subtracted.

Subtracting the second equation from the first corresponds to subtracting the same quantity from both sides of the first equation. Thus, the resulting equation is still true.

The basic approach used to solve a system of equations is to reduce the system by eliminating the unknowns one at a time until one equation with one unknown results. This equation is solved and its value used to determine the values of the other unknowns, again one at a time. There are three different techniques used to eliminate unknowns in systems of equations: addition or subtraction, substitution, and comparison.



Managed Security Service Provider
 


Privacy Statement - Copyright Information. - Contact Us

Integrated Publishing, Inc. - A (SDVOSB) Service Disabled Veteran Owned Small Business