Share on Google+Share on FacebookShare on LinkedInShare on TwitterShare on DiggShare on Stumble Upon
Custom Search
 
  

 

Simultaneous Equations

The simplest system of equations is one involving two linear equations with two unknowns.

The approach used to solve systems of two linear equations involving two unknowns is to combine the two equations in such a way that one of the unknowns is eliminated. The resulting equation can be solved for one unknown, and either of the original equations can then be used to solve for the other unknown.

Systems of two equations involving two unknowns can be solved by addition or subtraction using five steps.

Step 1.Multiply or divide one or both equations by some factor or factors that will make the coefficients of one unknown numerically equal in both equations.

Step 2.Eliminate the unknown having equal coefficients by addition or subtraction.

Step 3.Solve the resulting equation for the value of the one remaining unknown.

Step 4.Find the value of the other unknown by substituting the value of the first unknown into one of the original equations.

Step 5.Check the solution by substituting the values of the two unknowns into the other original equation.

Example:

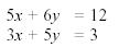
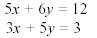
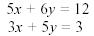
Solve the following system of equations using addition or subtraction.

Solution:

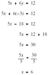
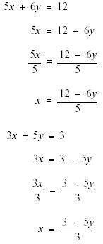
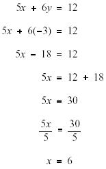
Step 1.Make the coefficients of y equal in both equations by multiplying the first equation by 5 and the second equation by 6.

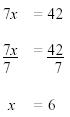
Step 2.Subtract the second equation from the first.

Step 3.Solve the resulting equation.

Step 4.Substitute x = 6 into one of the original equations and solve for y.

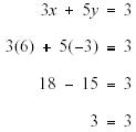
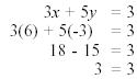
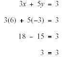
Step 5.Check the solution by substituting x = 6 and y = -3 into the other original equation.

Thus, the solution checks.

Systems of two equations involving two unknowns can also be solved by substitution.

Step 1.Solve one equation for one unknown in terms of the other.

Step 2.Substitute this value into the other equation.

Step 3.Solve the resulting equation for the value of the one remaining unknown.

Step 4.Find the value of the other unknown by substituting the value of the first unknown into one of the original equations.

Step 5.Check the solution by substituting the values of the two unknowns into the other original equation.

Example:

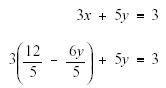
Solve the following system of equations using substitution.

Solution:

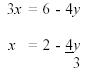
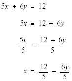
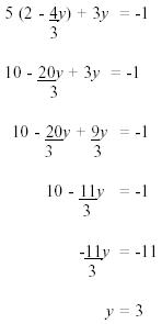
Step 1. Solve the first equation for x.

Step 2. Substitute this value of x into the second equation.

Step 3. Solve the resulting equation.

Step 4. Substitute y = -3 into one of the original equations and solve for x.

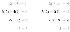
Step 5. Check the solution by substituting x = 6 and y = -3 into the other original equation.

Thus, the solution checks.

Systems of two equations involving two unknowns can also be solved by comparison.

Step 1.Solve each equation for the same unknown in terms of the other unknown.

Step 2.Set the two expressions obtained equal to each other.

Step 3.Solve the resulting equation for the one remaining unknown.

Step 4.Find the value of the other unknown by substituting the value of the first unknown into one of the original equations.

Step 5.Check the solution by substituting the values of the two unknowns into the other original equation.

Example:

Solve the following system of equations by comparison.

Solution:

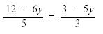
Step 1.Solve both equations for x.

Algebra

Step 2. Set the two values for x equal to each other.

Step 3. Solve the resulting equation for y.

Step 4. Substitute y = -3 into one of the original equations and solve for x.

Step 5.Check the solution by substituting x = 6 and y = -3 into the other original equation.

Thus, the solution checks.

Quite often, when more than one unknown exists in a problem, the end result of the equations expressing the problem is a set of simultaneous equations showing the relationship of one of the unknowns to the other unknowns.

Example:

Solve the following simultaneous equations by substitution.

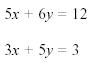
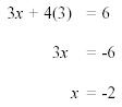
3x+4y=6 5x +3y=-1

Solution:

Solve for x:

Substitute the value for x into the other equation:

Substitute y = 3 into the first equation:

Check the solution by substituting x = -2 and y = 3 into the original equations.

Thus, the solution checks.

Summary

The important information in this chapter is summarized below.

Simultaneous Equations Summary

There are three methods used when solving simultaneous equations:

Addition or subtraction

Substitution

Comparison



Managed Security Service Provider
 


Privacy Statement - Copyright Information. - Contact Us

Integrated Publishing, Inc. - A (SDVOSB) Service Disabled Veteran Owned Small Business