Share on Google+Share on FacebookShare on LinkedInShare on TwitterShare on DiggShare on Stumble Upon
Custom Search
 
  

 

Quadratic Formula

Many quadratic equations cannot readily be solved by either of the two techniques already described (taking the square roots or factoring). For example, the quadratic equation

x2 - 6x + 4 = 0 is not a pure quadratic and, therefore, cannot be solved by taking the square roots. In addition, the left-hand side of the equation cannot readily be factored. The Quadratic Formula is a third technique for solving quadratic equations. It can be used to find the roots of any quadratic equation.

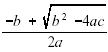
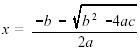
Equation 2-8 is the Quadratic Formula. It states that the two roots of a quadratic equation written

z

in general form, ax' + bx + c = 0, are equal to x =and . The Quadratic Formula should be committed to memory because it is such a useful tool for solving quadratic equations.

There are three steps in solving a quadratic equation using the Quadratic Formula.

Step 1.Write the equation in general form.

Step 2.Substitute the values for a, b, and c into the Quadratic Formula and solve for x.

Step 3.Check the roots in the original equation.

Example 1:

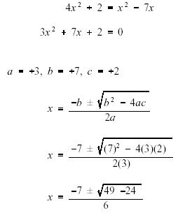
Solve the following quadratic equation using the Quadratic Formula. 4x2+2=x2-7x:

Solution:

Step 1. Write the equation in general form.

Step 2.

Thus, the roots are x = and x = -2.

Step 3. Check the roots.

and,

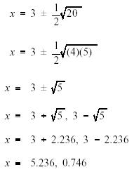
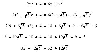
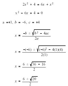
Example 2:

Solve the following quadratic equation using the Quadratic Formula.

2x2+4=6x+x2

Solution:

Step 1. Write the equation in general form.

Step 2.

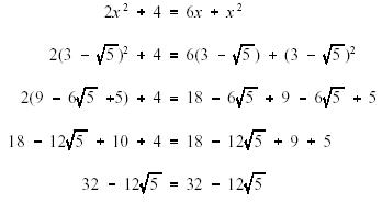
Step 3.Check the roots.

and,

Thus, the roots check.

The Quadratic Formula can be used to find the roots of any quadratic equation. For a pure quadratic equation in which the numerical coefficient b equals zero, the Quadratic Formula (2-8) reduces to the formula given as Equation 2-9.

For b = 0, this reduces to the following.

Summary

The important information in this chapter is summarized below.

c a

(2-9)

Quadratic Equations Summary There are three methods used when solving quadratic equations: Taking the square root

Factoring the equation

Using the quadratic formula



Managed Security Service Provider
 


Privacy Statement - Copyright Information. - Contact Us

Integrated Publishing, Inc. - A (SDVOSB) Service Disabled Veteran Owned Small Business