Share on Google+Share on FacebookShare on LinkedInShare on TwitterShare on DiggShare on Stumble Upon
Custom Search
 
  

 

Certain complete quadratic equations can be solved by factoring. If the left-hand side of the general form of a quadratic equation can be factored, the only way for the factored equation to be true is for one or both of the factors to be zero. For example, the left-hand side of the quadratic equation x2 + x - 6 = 0 can be factored into (x + 3)(x - 2). The only way for the equation (x + 3) (x - 2) = 0 to be true is for either (x + 3) or (x - 2) to be zero. Thus, the roots of quadratic equations which can be factored can be found by setting each of the factors equal to zero and solving the resulting linear equations. Thus, the roots of (x + 3)(x - 2) = 0 are found by setting x + 3 and x - 2 equal to zero. The roots are x = -3 and x = 2.

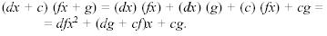
Factoring estimates can be made on the basis that it is the reverse of multiplication. For example, if we have two expressions (dx + c) and (cx + g) and multiply them, we obtain (using the distribution laws)

Thus, a statement (dx + c) (fx + g) = 0 can be written

Now, if one is given an equation ax2 + bx + c = 0, he knows that the symbol a is the product of two numbers (df) and c is also the product of two numbers. For the example 3x2 - 4x - 4 = 0, it is a reasonable guess that the numbers multiplying x2 in the two factors are 3 and 1, although they might be 1.5 and 2. The last -4 (c in the general equation) is the product of two numbers (eg), perhaps -2 and 2 or -1 and 4. These combinations are tried to see which gives the proper value of b (dg + ef), from above.

There are four steps used in solving quadratic equations by factoring.

Step 1.Using the addition and subtraction axioms, arrange the equation in the general quadratic form ax2 + bx + c = 0.

Step 2.Factor the left-hand side of the equation.

Step 3.Set each factor equal to zero and solve the resulting linear equations.

Step 4.Check the roots.

Example:

Solve the following quadratic equation by factoring. 2x2-3=4x-x2+1

Solution:

Step 1. Using the subtraction axiom, subtract (4x - x2 + 1) from both sides of the equation.

2x2-3-(4x-x2+1) =4x-x2+1-(4x-x2+1) 3x2-4x-4 =0

Step 2. Factor the resulting equation. 3x2-4x-4 =0

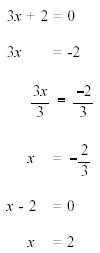
(3x + 2)(x - 2) = 0

Step 3. Set each factor equal to zero and solve the resulting equations.

Thus, the roots are x = and x = 2.

Step 4.Check the roots.

Thus, the roots check.

Quadratic equations in which the numerical constant c is zero can always be solved by factoring. One of the two roots is zero. For example, the quadratic equation 2x2 + 3x = 0 can be solved by factoring. The factors are (x) and (2x + 3). Thus, the roots are x = 0 and x = . If a quadratic equation in which the numerical constant c is zero is written in general form, a general expression can be written for its roots. The general form of a quadratic equation in which the numerical constant c is zero is the following:

ax2 + bx = 0 (2-4)

The left-hand side of this equation can be factored by removing an x from each term.

x(ax + b) = 0 (2-5)

The roots of this quadratic equation are found by setting the two factors equal to zero and solving the resulting equations.

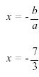
Thus, the roots of a quadratic equation in which the numerical constant c is zero are x = 0 and

Example:

Find the roots of the following quadratic equation. 3x2 + 7x = 0

Solution:

Using Equation 2-6, one root is determined. x=0 Using Equation 2-7, substitute the values of a and b and solve for x.

Thus, the roots are x = 0 and x =



Managed Security Service Provider
 


Privacy Statement - Copyright Information. - Contact Us

Integrated Publishing, Inc. - A (SDVOSB) Service Disabled Veteran Owned Small Business