Share on Google+Share on FacebookShare on LinkedInShare on TwitterShare on DiggShare on Stumble Upon
Custom Search
 
  

 

This chapter covers solving for unknowns using quadratic equations.

EO 1.3APPLY the quadratic formula to solve for an unknown.

Types of Quadratic Equations

A quadratic equation is an equation containing the second power of an unknown but no higher power. The equation x2 - 5x + 6 = 0 is a quadratic equation. A quadratic equation has two roots, both of which satisfy the equation. The two roots of the quadratic equation x2 -5x + 6 = 0 are x = 2 and x = 3. Substituting either of these values for x in the equation makes it true.

The general form of a quadratic equation is the following:

ax 2 bx+c=0 (2-1)

The a represents the numerical coefficient of x2 , b represents the numerical coefficient of x, and c represents the constant numerical term. One or both of the last two numerical coefficients may be zero. The numerical coefficient a cannot be zero. If b=0, then the quadratic equation is termed a "pure" quadratic equation. If the equation contains both an x and x2 term, then it is a "complete" quadratic equation. The numerical coefficient c may or may not be zero in a complete quadratic equation. Thus, x2 +5x+6=0 and 2x2 - 5x = 0 are complete quadratic equations.

Solving Quadratic Equations

The four axioms used in solving linear equations are also used in solving quadratic equations. However, there are certain additional rules used when solving quadratic equations. There are three different techniques used for solving quadratic equations: taking the square root, factoring, and the Quadratic Formula. Of these three techniques, only the Quadratic Formula will solve all quadratic equations. The other two techniques can be used only in certain cases. To determine which technique can be used, the equation must be written in general form:

ax2 + bx + c = 0 (2-1)

If the equation is a pure quadratic equation, it can be solved by taking the square root. If the numerical constant c is zero, equation 2-1 can be solved by factoring. Certain other equations can also be solved by factoring.

Taking Square Root

A pure quadratic equation can be solved by taking the square root of both sides of the equation. Before taking the square root, the equation must be arranged with the x2 term isolated on the lefthand side of the equation and its coefficient reduced to 1. There are four steps in solving pure quadratic equations by taking the square root.

Step 1.Using the addition and subtraction axioms, isolate the x2 term on the left-hand side of the equation.

Step 2.Using the multiplication and division axioms, eliminate the coefficient from the x2 term.

Step 3.Take the square root of both sides of the equation.

Step 4.Check the roots.

In taking the square root of both sides of the equation, there are two values that satisfy the equation. For example, the square roots of x2 are +x and -x since (+X)(+X)= X2 and

(-x)(-x) = x2.The square roots of 25 are +5 and -5 since (+5)(+5) = 25 and (-5)(-5) = 25. The two square roots are sometimes indicated by the symbol . Thus, = 5. Because of this property of square roots, the two roots of a pure quadratic equation are the same except for their sign.

At this point, it should be mentioned that in some cases the result of solving pure quadratic equations is the square root of a negative number. Square roots of negative numbers are called imaginary numbers and will be discussed later in this section.

Example:

Solve the following quadratic equation by taking the square roots of both sides.

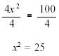
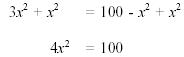
3x2 = 100 - x2

Solution:

Step 1.Using the addition axiom, add x2 to both sides of the equation.

Step 2.Using the division axiom, divide both sides of the equation by 4.

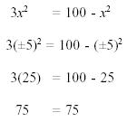
Step 3.Take the square root of both sides of the equation.

Thus, the roots are x = +5 and x = -5.

Step 4.Check the roots.

If a pure quadratic equation is written in general form, a general expression can be written for its roots. The general form of a pure quadratic is the following.

Using the subtraction axiom, subtract c from both sides of the equation.

ax2 =-c

Using the division axiom, divide both sides of the equation by a.

Now take the square roots of both sides of the equation.

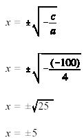
Thus, the roots of a pure quadratic equation written in general form ax2 + c = 0 are

Example:

Find the roots of the following pure quadratic equation.

4x2- 100=0

Solution:

Using Equation 2-3, substitute the values of c and a and solve for x.

Thus, the roots are x = 5 and x = -5.



Managed Security Service Provider
 


Privacy Statement - Copyright Information. - Contact Us

Integrated Publishing, Inc. - A (SDVOSB) Service Disabled Veteran Owned Small Business