Share on Google+Share on FacebookShare on LinkedInShare on TwitterShare on DiggShare on Stumble Upon
Custom Search
 
  

 

Radicals

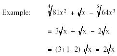
Often, dissimilar radicals may be combined after they are simplified.

Changing Radicals to Exponents

This chapter has covered solving radicals and then converting them into exponential form. It is much easier to convert radicals to exponential form and then perform the indicated operation.

The expression can be written with a fractional exponent as 41/3.Note that this meets thecondition = 4, that is, the cube root of 4 cubed equals 4. This can be expressed in the following algebraic form:

The above definition is expressed in more general terms as follows:

Example 1:

Express the following in exponential form.

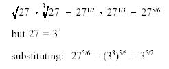
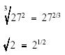
Example 2:

Solve the following by first converting to exponential form.



Managed Security Service Provider
 


Privacy Statement - Copyright Information. - Contact Us

Integrated Publishing, Inc. - A (SDVOSB) Service Disabled Veteran Owned Small Business