Share on Google+Share on FacebookShare on LinkedInShare on TwitterShare on DiggShare on Stumble Upon
Custom Search
 
  

 

This chapter covers the addition, subtraction, multiplication, and division of radicals.

EO 1.15 CALCULATE the numerical value of numbers in radical form.

Calculator Usage, Special Keys

The exponent key can be used for radicals if the exponent is entered in decimal form.

Exponent key

Raising a number to an exponent requires the yX key to be pressed twice. First, the base number is entered and the yX key is pressed. This enters the base number (y). Next, the exponent number is entered and the yX key is pressed. This enters the exponent and tells the calculator to complete the calculation. The calculator will display the value.

Square-root key

Pressing this key takes the square root of the displayed number.

The Radical

A previous chapter explained how to raise a number to a power. The inverse of this operation is called extracting a root. For any positive integer n, a number x is the nth root of the number a if it satisfies xn = a. For example, since 25 = 32, 2 is the fifth root of 32.

To indicate the nth root of a, the expression is often used. The symbol is called the

radical sign, and the nth root of a can also be shown as . The letter a is the radicand, and n is the index. The index 2 is generally omitted for square roots.

Example:

Simplifying Radicals

An expression having radicals is in simplest form when:

The index cannot be reduced.

The radicand is simplified.

No radicals are in the denominator.

There are four rules of radicals that will be useful in simplifying them.

When a radical sign exists in the denominator, it is desirable to remove the radical. This is done by multiplying both the numerator and denominator by the radical and simplifying.

Example:

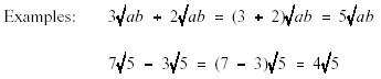
Addition and Subtraction

Addition and subtraction of radicals may be accomplished with radicals showing the same radicand and the same index. Add or subtract similar radicals using the distributive law.

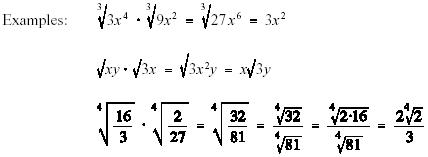
Multiplication

Multiplication of radicals having the same index may be accomplished by applying the rule used in simplification:

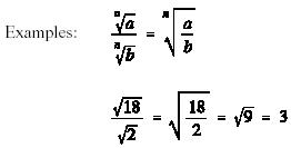
Division

Division of radicals having the same index, but not necessarily the same radicand, may be performed by using the following rule and simplifying.



Managed Security Service Provider
 


Privacy Statement - Copyright Information. - Contact Us

Integrated Publishing, Inc. - A (SDVOSB) Service Disabled Veteran Owned Small Business