Share on Google+Share on FacebookShare on LinkedInShare on TwitterShare on DiggShare on Stumble Upon
Custom Search
 
  

 

How to convert radicals into exponential form has been explained. Sometimes however, it is necessary or convenient to convert exponents to radicals. Recognizing that an exponent is the equivalent of the nth root is useful to help comprehend an expression.

The expression 51/3 can be written as . It is algebraically expressed as:

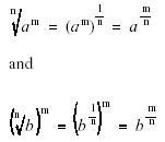
The above definition can be more generally described as:

Summary

Pertinent information concerning radicals is summarized below.

Radicals Summary



Managed Security Service Provider
 


Privacy Statement - Copyright Information. - Contact Us

Integrated Publishing, Inc. - A (SDVOSB) Service Disabled Veteran Owned Small Business