Share on Google+Share on FacebookShare on LinkedInShare on TwitterShare on DiggShare on Stumble Upon
Custom Search
 
  

 

Rules for Exponents

The following rules are applied to exponents.

Rule 1: To multiply numbers with the same base, add the exponents and keep the base the same.

Example:

22x23= (2 x2)x(2x2x2)=2 x2 x2 x2 x2=25

Rule 2: When raising a power of a number to a power, multiply the exponents and keep the base the same.

Example:

(a2)3 = (a x a) x (a x a) x (a x a) = a6

that is, you multiply (a x a) three times. Similarly, for (am)n, one multiplies (am) n times. There are m values of a in each parenthesis multiplied by n parenthesis or m x n values of a to multiply.

Thus,

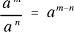
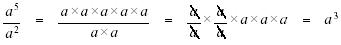
Rule 3: When dividing two exponential numbers, subtract the powers.

Example:

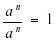
Rule 4: Any exponential number divided by itself is equal to one.

Rule 5: To raise a product to a power, raise each factor to that power.

This arises from the associative law for multiplication, that is, order of multiplication does not alter the product.

Example:

If doubt exists in the student's mind, try multiplying (2 x 3)z out in different orders. All orders will yield 36.

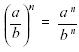
Rule 6: To raise a quotient to a power, raise both the numerator and denominator to that power.

Example:

To demonstrate this, consider



Managed Security Service Provider
 


Privacy Statement - Copyright Information. - Contact Us

Integrated Publishing, Inc. - A (SDVOSB) Service Disabled Veteran Owned Small Business