Share on Google+Share on FacebookShare on LinkedInShare on TwitterShare on DiggShare on Stumble Upon
Custom Search
 
  

 

Exponents

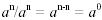
Using the rule for exponents (Rule 4) to evaluate an/an, then

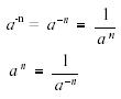
This interpretation is consistent with the rule . Therefore, when a is not equal to 0. Any number to the zero power equals one.

Example:

Negative Exponents

The rules for positive exponents apply to negative exponents. a-n is defined as follows:

For example, as shown earlier. If is written as , and the rules for multiplication are applied to this, . Thus, writing and applying the rules for multiplication yields the same results as 1 and applying the rules of division. an

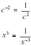
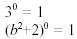
Examples:



Managed Security Service Provider
 


Privacy Statement - Copyright Information. - Contact Us

Integrated Publishing, Inc. - A (SDVOSB) Service Disabled Veteran Owned Small Business