Share on Google+Share on FacebookShare on LinkedInShare on TwitterShare on DiggShare on Stumble Upon
Custom Search
 
  

 

This chapter covers the addition, subtraction, multiplication, and division of numbers with exponents.

EO 1.12

APPLY one of the arithmetic operations of addition, subtraction, multiplication, and division using exponential numbers.

Calculator Usage, Special Keys

Exponent key

Raising a number to an exponent requires the yX key to be pressed twice. First, the base number is entered and the yX key is pressed; this enters the base number (y). Next, the exponent number is pressed and the yX key is pressed; this enters the exponent and tells the calculator to complete the calculation. The calculator will display the value.

x squared key

Pressing this key squares the displayed number. This key will save time over using the yX key.

Exponents

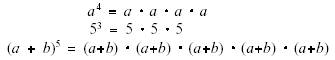
The product a x a x a x a can be written as a4, where 4 is called the exponent of a or power to which a is raised. In this notation, a is often called the base.

Examples:

When an exponent is not written, it is assumed to be 1. For example, al = a. An exponent applies only to the quantity immediately to the left and below it. For example, in 3 + (-2)3 the base is -2, but in 3 - 23 the base is 2.



Managed Security Service Provider
 


Privacy Statement - Copyright Information. - Contact Us

Integrated Publishing, Inc. - A (SDVOSB) Service Disabled Veteran Owned Small Business