Share on Google+Share on FacebookShare on LinkedInShare on TwitterShare on DiggShare on Stumble Upon
Custom Search
 
  

 
Formulas

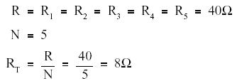
Total resistance of equal resistors in a parallel circuit is equal to the resistance of one resistor

divided by the number of resistors.

Where

Example: Five lamps, each with a resistance of 40, are connected in parallel. Find total resistance.

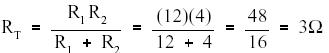
When any two resistors are unequal in a parallel circuit, it is easier to calculate RT by multiplying the two resistances and then dividing the product by the sum, as shown in equation (2-11). As shown in equation (2-11), this is valid when there are only two resistors in parallel.

Example: Find the total resistance of a parallel circuit which has one 12 and one 4 resistor.

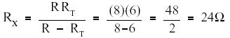
In certain cases involving two resistors in parallel, it is useful to find an unknown resistor, RX, to obtain a certain RT. To find the appropriate formula, we start with equation (2-10) and let the known resistor be R and the unknown resistor be RX.

Example: What value of resistance must be added, in parallel, with an 8 resistor to provide a total resistance of 6 (Figure 28)?

Figure 28 Example Parallel Circuit

Solution:

 



Managed Security Service Provider
 


Privacy Statement - Copyright Information. - Contact Us

Integrated Publishing, Inc. - A (SDVOSB) Service Disabled Veteran Owned Small Business