Share on Google+Share on FacebookShare on LinkedInShare on TwitterShare on DiggShare on Stumble Upon
Custom Search
 
  

 

The sum of the currents flowing through each branch of a parallel circuit is equal to the total current flow in the circuit. Using Ohm's Law, the branch current for a three branch circuit equals the applied voltage divided by the resistance as shown in equations (2-6), (2-7), and (2-8).

Example 1: Two resistors, each drawing 3A, and a third resistor, drawing 2A, are connected

in parallel across a 115 volt source (Figure 23). What is total current?

Figure 23 Example 1 Parallel Circuit

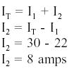
Example 2: Two branches, Rl and R2,are across a 120 V power source. The total current flow is 30 A (Figure 24). Branch Rl takes 22 amps. What is the current flow in Branch R2?

Figure 24 Example 2 Parallel Circuit

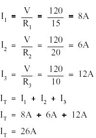
Example 3: A parallel circuit consists of R1 = 15, R2 = 20 and R3 = 10, with an applied voltage of 120 V (Figure 25). What current will flow through each branch?

Figure 25 Example 3 Parallel Circuit

 



Managed Security Service Provider
 


Privacy Statement - Copyright Information. - Contact Us

Integrated Publishing, Inc. - A (SDVOSB) Service Disabled Veteran Owned Small Business