Share on Google+Share on FacebookShare on LinkedInShare on TwitterShare on DiggShare on Stumble Upon
Custom Search
 
  

 

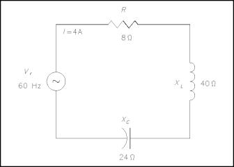
Example: An 8 resistance, a 40 XL, and a 24 Xc are in series with a 60 Hz source with a current flow of 4 amps, as shown in Figure 8.

Find:

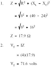
1. Z

2. VT

3. pf

4. P

5. Q

6. S

Figure 8 Series R-C-L Circuit

 



Managed Security Service Provider
 


Privacy Statement - Copyright Information. - Contact Us

Integrated Publishing, Inc. - A (SDVOSB) Service Disabled Veteran Owned Small Business