Share on Google+Share on FacebookShare on LinkedInShare on TwitterShare on DiggShare on Stumble Upon
Custom Search
 
  

 

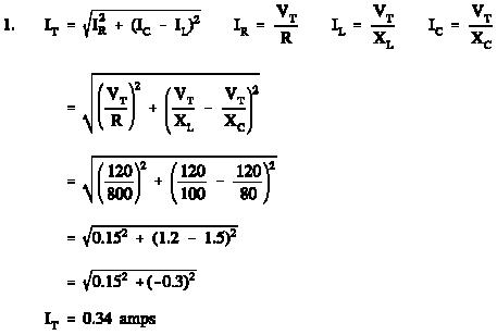
Example: An 800 resistance, 100 XL, and an 80 Xc are in parallel with a 120V, 60Hz source, as shown in Figure 9.

Find:

1. IT

2. pf

3. P

4. Q

5. S

Figure 9 Parallel R-C-L Circuit

Solution:

Summary

AC power relationships are summarized below.

AC Power Relationships Summary

Observe the equations for apparent, true, and reactive power, and power factor:

From observation, you can see that three power equations have the angle in common. is the angle between voltage and current. From this relationship, a power triangle, as shown in Figure 1, is formed.

ELI the ICE man is a mnemonic device that describes the reactive characteristics of an AC circuit.

Current (I) lags voltage (E) in an inductive circuit (L) Current (I) leads voltage (E) in a capacitive circuit (C)

 



Managed Security Service Provider
 


Privacy Statement - Copyright Information. - Contact Us

Integrated Publishing, Inc. - A (SDVOSB) Service Disabled Veteran Owned Small Business